Suppr超能文献

用于高效吸附喹诺酮类抗生素的竹生物炭的简便合成:效果与机制

Facile Synthesis of Bamboo Biochar for Efficient Adsorption of Quinolone Antibiotics: Effects and Mechanisms.

作者信息

Ouyang Erming, Zhang Ruiyue, Fu WenJie, Zhao Rui, Yang Hongwei, Xiang Hanrui, He Wanyuan

机构信息

School of Resources and Environment, Nanchang University, Nanchang, Jiangxi 330031, China.

Key Laboratory of Poyang Lake Environment and Resource Utilization, Ministry of Education, Nanchang University, Nanchang, Jiangxi 330031, China.

出版信息

ACS Omega. 2024 Nov 24;9(49):48618-48628. doi: 10.1021/acsomega.4c07479. eCollection 2024 Dec 10.

Abstract

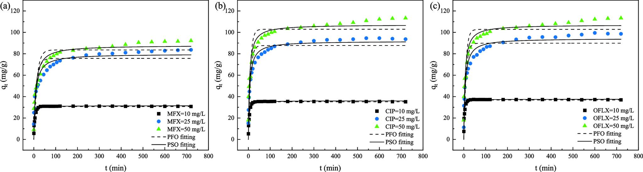
The harmful effects of quinolone antibiotics on ecology and human health have attracted widespread attention. In this study, bamboo biochar synthesized at different pyrolysis temperatures was used to remove quinolone antibiotics (moxifloxacin (MFX), ciprofloxacin (CIP), and ofloxacin (OFLX) as models). The pyrolysis temperature of 700 °C led to a high pore volume and average pore size of biochar. The biochar produced at 700 °C presented high adsorption properties for MFX, CIP, and OFLX. The maximum adsorption capacities for MFX, CIP, and OFLX were 135.56, 151.31, and 116.40 mg/g, respectively. The adsorption performance could be described by the Langmuir isotherm model and pseudo-second-order kinetic model. Biochar produced from waste bamboo could be applied as low-cost environmental adsorbents for quinolone antibiotics removal.

摘要

喹诺酮类抗生素对生态和人类健康的有害影响已引起广泛关注。在本研究中,使用在不同热解温度下合成的竹生物炭去除喹诺酮类抗生素(以莫西沙星(MFX)、环丙沙星(CIP)和氧氟沙星(OFLX)为模型)。700℃的热解温度导致生物炭具有高孔隙体积和平均孔径。700℃制备的生物炭对MFX、CIP和OFLX表现出高吸附性能。MFX、CIP和OFLX的最大吸附容量分别为135.56、151.31和116.40mg/g。吸附性能可用Langmuir等温线模型和伪二级动力学模型描述。由废弃竹子制备的生物炭可作为低成本的环境吸附剂用于去除喹诺酮类抗生素。

https://cdn.ncbi.nlm.nih.gov/pmc/blobs/7c00/11635524/2849dfd11927/ao4c07479_0001.jpg

文献AI研究员

20分钟写一篇综述,助力文献阅读效率提升50倍。

立即体验

用中文搜PubMed

大模型驱动的PubMed中文搜索引擎

马上搜索

文档翻译

学术文献翻译模型,支持多种主流文档格式。

立即体验