Suppr超能文献

基于壳聚糖的多功能生物材料作为抗菌治疗的活性剂或递送系统

Chitosan-Based Multifunctional Biomaterials as Active Agents or Delivery Systems for Antibacterial Therapy.

作者信息

Wang Meng, Wang Yue, Chen Geyun, Gao Hongyu, Peng Qiang

机构信息

State Key Laboratory of Oral Diseases & National Center for Stomatology & National Clinical Research Center for Oral Diseases, West China Hospital of Stomatology, Sichuan University, Chengdu 610041, China.

出版信息

Bioengineering (Basel). 2024 Dec 16;11(12):1278. doi: 10.3390/bioengineering11121278.

Abstract

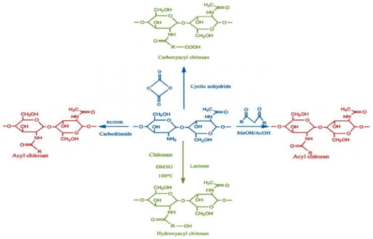
Antibiotic therapy has been a common method for treating bacterial infections over the past century, but with the rise in bacterial resistance caused by antibiotic abuse, better control and more rational use of antibiotics have been increasingly demanded. At the same time, a journey to explore alternatives to antibiotic therapies has also been undertaken. Chitosan and its derivatives, materials with good biocompatibility, biodegradability, and excellent antibacterial properties, have garnered significant attention, and more and more studies on chitosan and its derivatives have been conducted in recent years. In this work, we aim to elucidate the biological properties of chitosan and its derivatives and to track their clinical applications, as well as to propose issues that need to be addressed and possible solutions to further their future development and application.

摘要

在过去的一个世纪里,抗生素疗法一直是治疗细菌感染的常用方法,但随着抗生素滥用导致细菌耐药性的增加,人们越来越需要更好地控制和更合理地使用抗生素。与此同时,人们也踏上了探索抗生素疗法替代方案的征程。壳聚糖及其衍生物具有良好的生物相容性、生物降解性和优异的抗菌性能,受到了广泛关注,近年来对壳聚糖及其衍生物的研究也越来越多。在这项工作中,我们旨在阐明壳聚糖及其衍生物的生物学特性,追踪它们的临床应用情况,并提出需要解决的问题以及可能的解决方案,以推动它们未来的发展和应用。

https://cdn.ncbi.nlm.nih.gov/pmc/blobs/0751/11673874/702b9217036f/bioengineering-11-01278-g001.jpg

文献AI研究员

20分钟写一篇综述,助力文献阅读效率提升50倍。

立即体验

用中文搜PubMed

大模型驱动的PubMed中文搜索引擎

马上搜索

文档翻译

学术文献翻译模型,支持多种主流文档格式。

立即体验