Suppr超能文献

预处理肺功能测试在接受CD19嵌合抗原受体T细胞治疗的B细胞淋巴瘤中效用有限。

Pretreatment pulmonary function testing has limited utility in B-cell lymphoma treated with CD19 CAR T cells.

作者信息

Sdayoor Inbal, Shouval Roni, Fried Shalev, Marcus Ronit, Danylesko Ivetta, Yerushalmi Ronit, Shem-Tov Noga, Itzhaki Orit, Jacoby Elad, Kedmi Meirav, Nagler Arnon, Shimoni Avichai, Segel Michael J, Avigdor Abraham

机构信息

Division of Hematology and Bone Marrow Transplantation, Sheba Medical Center, Tel Hashomer, Israel.

Department of Medicine, Faculty of Medicine, Tel Aviv University, Tel Aviv, Israel.

出版信息

Blood Adv. 2025 Apr 8;9(7):1720-1725. doi: 10.1182/bloodadvances.2024014488.

Abstract

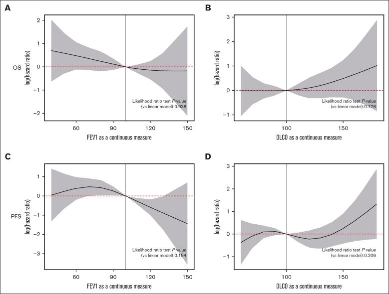
Pulmonary function tests (PFTs) are recommended for hematopoietic cell transplantation (HCT) evaluation. However, their prognostic value in chimeric antigen receptor T-cell (CAR-T) therapy remains unclear. We assessed the predictive significance of PFTs and pulmonary comorbidity classifications, per the Hematopoietic Cell Transplantation-Comorbidity Index (HCT-CI), in patients with B-cell lymphoma undergoing autologous CD19 CAR-T therapy. Single-center retrospective analysis encompassing 192 patients with relapsed/refractory B-cell lymphoma (BCL), treated with commercial and point-of-care CD19-directed CAR-T therapy. Pretherapy PFTs were conducted, and patients were stratified into 3 HCT-CI-based pulmonary comorbidity grades, using forced expiratory volume in 1 second (FEV1) and single-breath diffusing capacity for carbon monoxide (DLCO). Outcomes and toxicities were evaluated using univariate and multivariable Cox regression, logistic regression, Kaplan-Meier method, and spline models. Pulmonary comorbidity measures were not correlated with overall response rates or immune toxicities, including cytokine release syndrome grade >2 and immune effector cell-associated neurotoxicity grade >2. Categorical FEV1, DLCO, and pulmonary comorbidity level did not correlate with overall survival (OS; P = .3, P = .4, P = .6, respectively) or progression-free survival (PFS; P = .058, P > .9, P = .2, respectively). FEV1 as a continuous measure was associated with reduced PFS in a multivariable model (hazard ratio, 0.87; 95% confidence interval, 0.78-0.96; P = .007). Spline modeling demonstrated a linear correlation between FEV1 and PFS. Categorical FEV1, DLCO, and pulmonary comorbidity level failed to predict therapy efficacy or toxicity. FEV1 as a continuous measure was the sole PFT measure associated with PFS, independent of OS or severe toxicities.

摘要

建议进行肺功能测试(PFT)以评估造血细胞移植(HCT)。然而,其在嵌合抗原受体T细胞(CAR-T)治疗中的预后价值仍不清楚。我们根据造血细胞移植合并症指数(HCT-CI),评估了接受自体CD19 CAR-T治疗的B细胞淋巴瘤患者中PFT和肺部合并症分类的预测意义。对192例复发/难治性B细胞淋巴瘤(BCL)患者进行单中心回顾性分析,这些患者接受了商业化和即时检测的CD19导向CAR-T治疗。进行了治疗前PFT,并使用一秒用力呼气量(FEV1)和单次呼吸一氧化碳弥散量(DLCO)将患者分为基于HCT-CI的3个肺部合并症等级。使用单变量和多变量Cox回归、逻辑回归、Kaplan-Meier方法和样条模型评估结局和毒性。肺部合并症指标与总体缓解率或免疫毒性无关,包括细胞因子释放综合征>2级和免疫效应细胞相关神经毒性>2级。分类的FEV1、DLCO和肺部合并症水平与总生存期(OS;P分别为0.3、0.4、0.6)或无进展生存期(PFS;P分别为0.058、>0.9、0.2)均无相关性。在多变量模型中,作为连续指标的FEV1与PFS降低相关(风险比,0.87;95%置信区间,0.78-0.96;P = 0.007)。样条建模显示FEV1与PFS之间存在线性相关性。分类的FEV1、DLCO和肺部合并症水平未能预测治疗疗效或毒性。作为连续指标的FEV1是唯一与PFS相关的PFT指标,独立于OS或严重毒性。

https://cdn.ncbi.nlm.nih.gov/pmc/blobs/d39b/11999194/236e9b9d2768/BLOODA_ADV-2024-014488-ga1.jpg

文献AI研究员

20分钟写一篇综述,助力文献阅读效率提升50倍。

立即体验

用中文搜PubMed

大模型驱动的PubMed中文搜索引擎

马上搜索

文档翻译

学术文献翻译模型,支持多种主流文档格式。

立即体验