Suppr超能文献

环境温度对噬菌体Kayvirus rodi感染金黄色葡萄球菌的多方面影响:对生物膜控制的启示

Multipronged impact of environmental temperature on Staphylococcus aureus infection by phage Kayvirus rodi: Implications for biofilm control.

作者信息

Fernández Lucía, Duarte Ana Catarina, Jurado Andrea, Bueres Laura, Rodríguez Ana, García Pilar

机构信息

Instituto de Productos Lácteos de Asturias (IPLA-CSIC)C/ Francisco Pintado Fe 26, 33011, Oviedo, Asturias, Spain.

DairySafe GroupInstituto de Investigación Sanitaria del Principado de Asturias (ISPA), Oviedo, Spain.

出版信息

Biofilm. 2024 Dec 28;9:100248. doi: 10.1016/j.bioflm.2024.100248. eCollection 2025 Jun.

Abstract

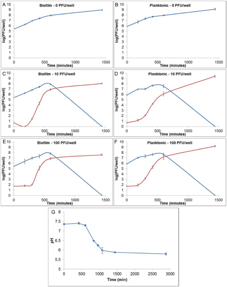
Environmental cues sometimes have a direct impact on phage particle stability, as well as bacterial physiology and metabolism, having a profound effect on phage infection outcome. Here, we explore the impact of temperature on the interplay between phage (phiIPLA-RODI) and its host, . Our results show that phiIPLA-RODI is a more effective predator at room (25 °C) compared to body temperature (37 °C) against planktonic cultures of several strains with varying degrees of phage susceptibility. This result differs from most known examples of temperature-dependent phage infection, in which optimum infection is correlated with the host growth rate. Further characterization of this phenomenon was carried out with strains IPLA15 and IPLA16, whose respective MICs were 7 log units and a 1-log unit higher at 37 °C than at 25 °C. Our results demonstrated that the phage also had a greater impact at room temperature during biofilm development and for the treatment of preformed biofilms. There was no difference in phage adsorption between the two temperatures for strain IPLA16. Conversely, adsorption of phiIPLA-RODI to IPLA15 was reduced at 37 °C compared to 25 °C. Moreover, confocal microscopy analysis indicated that the biofilm matrix of both strains has a greater content of PIA/PNAG at 37 °C than at 25 °C. Regarding infection parameters, we observed longer duration of the lytic cycle at 25 °C for both strains, and infection of IPLA15 by phiIPLA-RODI resulted in a smaller burst size at 37 °C than at 25 °C. Finally, we also found that the rate of phage resistant mutant selection was higher at 37 °C for both strains. Altogether, this information highlights the impact that bacterial responses to environmental factors have on phage-host interactions. Moreover, phage phiIPLA-RODI appears to be a highly effective candidate for biofilm disinfection at room temperature, while its efficacy in biofilm-related infections will require combination with other antimicrobials.

摘要

环境线索有时会对噬菌体颗粒稳定性以及细菌生理和代谢产生直接影响,从而对噬菌体感染结果产生深远影响。在此,我们探究温度对噬菌体(phiIPLA - RODI)与其宿主之间相互作用的影响。我们的结果表明,与体温(37°C)相比,phiIPLA - RODI在室温(25°C)下对几种具有不同程度噬菌体敏感性的菌株的浮游培养物是一种更有效的捕食者。这一结果与大多数已知的温度依赖性噬菌体感染例子不同,在那些例子中,最佳感染与宿主生长速率相关。我们使用IPLA15和IPLA16菌株对这一现象进行了进一步表征,它们各自的最低抑菌浓度在37°C时比在25°C时分别高7个对数单位和1个对数单位。我们的结果表明,在生物膜形成过程以及对预先形成的生物膜进行处理时,噬菌体在室温下也具有更大的影响。对于IPLA16菌株,两种温度下的噬菌体吸附没有差异。相反,与25°C相比,phiIPLA - RODI在37°C时对IPLA15的吸附减少。此外,共聚焦显微镜分析表明,两种菌株的生物膜基质在37°C时比在25°C时含有更多的PIA/PNAG。关于感染参数,我们观察到两种菌株在25°C时裂解周期持续时间更长,并且phiIPLA - RODI对IPLA15的感染在37°C时产生的爆发量比在25°C时小。最后,我们还发现两种菌株在37°C时噬菌体抗性突变体的选择率更高。总之,这些信息突出了细菌对环境因素的反应对噬菌体 - 宿主相互作用的影响。此外,噬菌体phiIPLA - RODI似乎是室温下生物膜消毒的高效候选者,而其在生物膜相关感染中的功效将需要与其他抗菌剂联合使用。

https://cdn.ncbi.nlm.nih.gov/pmc/blobs/2fde/11751508/ae19c9913234/gr1.jpg

文献AI研究员

20分钟写一篇综述,助力文献阅读效率提升50倍。

立即体验

用中文搜PubMed

大模型驱动的PubMed中文搜索引擎

马上搜索

文档翻译

学术文献翻译模型,支持多种主流文档格式。

立即体验