Suppr超能文献

卵黄原蛋白水平作为城市和农村条件下蜜蜂蜂群强壮程度的生物标志物

Vitellogenins Level as a Biomarker of the Honeybee Colony Strength in Urban and Rural Conditions.

作者信息

Nicewicz Łukasz, Nicewicz Agata Wanda, Nakonieczny Mirosław

机构信息

University of Silesia in Katowice, Faculty of Natural Sciences, Institute of Biology, Biotechnology and Environmen-tal Protection, Research Team of Animal Physiology and Ecotoxicology, Bankowa 9, 40-007 Katowice, Poland.

出版信息

Insects. 2024 Dec 29;16(1):25. doi: 10.3390/insects16010025.

Abstract

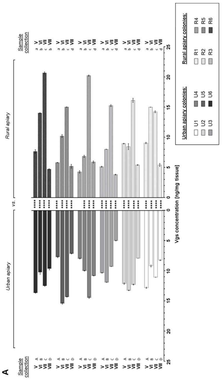
The study aimed to verify whether urban beekeeping affects the strength of the honeybee () colonies from urban apiaries and the variability of the crucial for their health and long-life protein-vitellogenins. For this purpose, honeybees were kept in two locations-in a city apiary on a roof in the city center and in agricultural areas. Each of the apiaries consisted of six colonies, with the sister queens artificially inseminated with semen from the same pool of drones. The bee colony strength and the variability of the vitellogenins in various tissues in foragers from both apiaries were analyzed from May to August. Here, we revealed that colonies from the urban apiary were more abundant than those from the rural apiary. We observed the compensation mechanism during periods of worker deficiency in the bee colony, which was expressed as a change in the Vgs level in the forager tissues. Using the vitellogenin level as a biomarker of the honeybee colony strength can predict the fate of colonies, especially those with low numbers. The high level of Vgs can be a candidate for bee colony depopulation biomarker.

摘要

该研究旨在验证城市养蜂是否会影响城市养蜂场中蜂群的实力,以及对其健康和长寿至关重要的蛋白质卵黄原蛋白的变异性。为此,蜜蜂被饲养在两个地点——市中心屋顶的城市养蜂场和农业地区。每个养蜂场由六个蜂群组成,其蜂王姐妹均用来自同一雄蜂群体的精液进行人工授精。从5月到8月,对两个养蜂场中觅食工蜂的蜂群实力以及不同组织中卵黄原蛋白的变异性进行了分析。在此,我们发现城市养蜂场的蜂群比农村养蜂场的更为繁盛。我们观察到蜂群在工蜂数量不足期间的补偿机制,这表现为觅食工蜂组织中Vg水平的变化。将卵黄原蛋白水平用作蜂群实力的生物标志物,可以预测蜂群的命运,尤其是数量较少的蜂群。高Vg水平可能是蜂群数量减少的生物标志物候选指标。

https://cdn.ncbi.nlm.nih.gov/pmc/blobs/8e29/11766442/7ca0f84a2aa6/insects-16-00025-g001.jpg

文献AI研究员

20分钟写一篇综述,助力文献阅读效率提升50倍。

立即体验

用中文搜PubMed

大模型驱动的PubMed中文搜索引擎

马上搜索

文档翻译

学术文献翻译模型,支持多种主流文档格式。

立即体验