Suppr超能文献

探索退火对聚乳酸/碳纳米管纳米复合材料的影响:寻找用于电磁屏蔽的高效聚乳酸/多壁碳纳米管纳米复合材料

Exploring the Effect of Annealing on PLA/Carbon Nanotube Nanocomposites: In Search of Efficient PLA/MWCNT Nanocomposites for Electromagnetic Shielding.

作者信息

da Silva Flávio Urbano, Luna Carlos Bruno Barreto, da Silva Fabiano Santana, Barreto José Vinícius Melo, Schmitz Debora Pereira, Soares Bluma Guenther, Wellen Renate Maria Ramos, Araújo Edcleide Maria

机构信息

Academic Unit of Materials Engineering, Federal University of Campina Grande, Av. Aprígio Veloso, 882-Bodocongó, Campina Grande 58429-900, PB, Brazil.

Federal Institute of Education, Ciência e Tecnologia do Rio Grande do Norte, Natal 59015-000, RN, Brazil.

出版信息

Polymers (Basel). 2025 Jan 20;17(2):246. doi: 10.3390/polym17020246.

Abstract

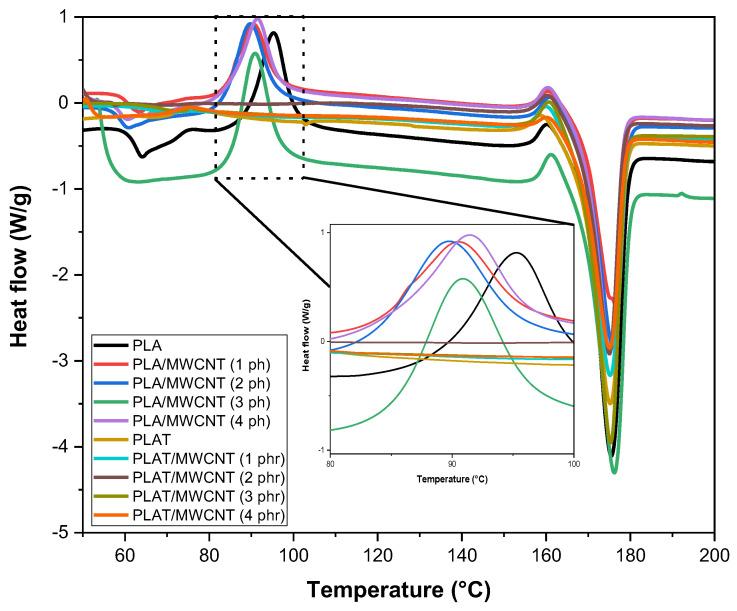
In this research, poly(lactic acid) (PLA) nanocomposites with multi-walled carbon nanotubes (MWCNT) were produced by extrusion, injection, and compression molding, focusing on electromagnetic shielding. Various amounts of carbon nanotubes (MWCNTs) were tested in PLA matrix, specifically ranging from 1 to 4 parts per hundred resin (phr). The resulting nanocomposites were analyzed before and after undergoing annealing heat treatment. It was observed that as the MWCNT content increased, the melt flow index of PLA decreased. This reduction indicates that the nanotubes were effectively accommodated into the PLA chain. The PLA/MWCNT (2 phr) formulation presented the greatest balance of properties, with potential for electromagnetic shielding application. Scanning electron microscopy (SEM) demonstrated that incorporating 2 phr of carbon nanotubes in PLA promoted good distribution, favoring high electrical conductivity and electromagnetic shielding between 20-22 dB (8.2-18 GHz), corresponding to approximately 99% attenuation. Furthermore, its properties, such as elastic modulus (3156 MPa), tensile strength (65.1 MPa), hardness (77.8 Shore D), and heat deflection temperature (55.3 °C), increased compared to pure PLA. After annealing, the PLA/MWCNT (2 phr) nanocomposite underwent a molecular reordering, resulting in an increased crystalline fraction, as confirmed by X-ray diffraction (XRD). However, the electrical conductivity maintained the same order of magnitude, while the electromagnetic shielding varied from 19.7 to 20 dB. The results indicate that these nanocomposites are promising for electromagnetic shielding applications and can be manufactured in the molten state.

摘要

在本研究中,通过挤出、注塑和压缩成型制备了含有多壁碳纳米管(MWCNT)的聚乳酸(PLA)纳米复合材料,重点关注电磁屏蔽性能。在PLA基体中测试了不同含量的碳纳米管(MWCNT),具体范围为每百份树脂1至4份(phr)。对所得纳米复合材料在进行退火热处理前后进行了分析。观察到随着MWCNT含量的增加,PLA的熔体流动指数下降。这种下降表明纳米管有效地融入了PLA链中。PLA/MWCNT(2 phr)配方呈现出最佳的性能平衡,具有电磁屏蔽应用潜力。扫描电子显微镜(SEM)表明,在PLA中加入2 phr的碳纳米管促进了良好的分布,有利于在20 - 22 dB(8.2 - 18 GHz)之间实现高电导率和电磁屏蔽,对应约99%的衰减。此外,与纯PLA相比,其弹性模量(3156 MPa)、拉伸强度(65.1 MPa)、硬度(77.8邵氏D)和热变形温度(55.3 °C)等性能有所提高。退火后,PLA/MWCNT(2 phr)纳米复合材料发生分子重排,导致结晶度增加,这通过X射线衍射(XRD)得到证实。然而,电导率保持在相同数量级,而电磁屏蔽在19.7至20 dB之间变化。结果表明,这些纳米复合材料在电磁屏蔽应用方面具有潜力,并且可以在熔融状态下制造。

https://cdn.ncbi.nlm.nih.gov/pmc/blobs/c1ff/11768199/a3d344b767d8/polymers-17-00246-g001.jpg

文献AI研究员

20分钟写一篇综述,助力文献阅读效率提升50倍。

立即体验

用中文搜PubMed

大模型驱动的PubMed中文搜索引擎

马上搜索

文档翻译

学术文献翻译模型,支持多种主流文档格式。

立即体验