Suppr超能文献

英国生物银行中与超加工食品相关的代谢物与选定生化标志物的关联。

Association of ultra-processed food-related metabolites with selected biochemical markers in the UK Biobank.

作者信息

Kityo Anthony, Choi Byeonggeun, Lee Jung-Eun, Kim Chulho, Lee Sang-Ah

机构信息

Department of Preventive Medicine, School of Medicine, Kangwon National University, 1 Gangwondeahakgil, Chuncheon, Gangwon, 24341, Republic of Korea.

Interdisciplinary Graduate Program in Medical Bigdata Convergence, Kangwon National University, Chuncheon, Gangwon, 24341, Republic of Korea.

出版信息

Nutr J. 2025 Jan 31;24(1):21. doi: 10.1186/s12937-025-01077-w.

Abstract

BACKGROUND

Ultra-processed food (UPF) intake is positively associated with multiple adverse health outcomes. However, the underlying biological mechanisms remain unclear. Serum metabolites may elucidate these mechanisms. We investigated serum metabolites correlated with UPF and un/minimally processed food (UNPF) intake and evaluated their association with selected biochemical markers.

METHODS

Cross-sectional study within the UK biobank, including a total of 72,817 participants with 24-hour recall dietary data and 134 nuclear magnetic resonance metabolites. UPF and UNPF intakes were evaluated using the NOVA classification, and related metabolites were identified using elastic net penalized regression. A UPF metabolomic signature was computed as a weighted sum of UPF-related metabolites, using elastic net coefficients as weights. Associations between UPF and UNPF-related metabolites, and serum C-reactive protein (CRP), insulin-like growth factor-1(IGF-1), sex hormone-binding globulin (SHBG), and testosterone were examined using multiple quantile regression.

RESULTS

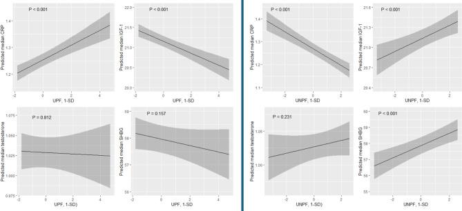
Elastic net model identified 17 and 15 metabolites uniquely related to UPF and UNPF intake, respectively. Acetoacetate, acetone, high-density lipoprotein (HDL) diameter, docosahexaenoic acid, linoleic acid, ω-3 fatty acids (FA), total lipids in large HDL cholesterol, and valine levels were decreased, but free cholesterol in extremely small very low-density lipoproteins (LDL), glutamine, glycine, glycoprotein acetyls, lactate, saturated FA, sphingomyelins, triglycerides in large LDL, and triglycerides in medium HDL levels were increased with high UPF intake. Opposite relationships were observed for UNPF intake. Heterogeneous associations were observed between UPF-related metabolites and CRP, IGF-1, SHBG, and testosterone levels. A UPF metabolomic signature was positively associated with CRP (regression coefficient per standard deviation, 1.45, 95% confidence interval, 1.385, 1.515) and negatively associated with IGF-1 (-3.16, -4.493, -1.827) and SHBG (-13.878, -15.291, -12.465).

CONCLUSION

A UPF metabolomic profile, including VLDL free cholesterol, saturated FA, triglycerides, glutamine, glycine, and glycoprotein acetyl was associated with inflammatory, insulin signalling, and reproductive biomarkers. This metabolomic profile should be explored as a potential mediators of UPF-disease associations, and as an objective marker of UPF intake.

摘要

背景

超加工食品(UPF)的摄入量与多种不良健康结局呈正相关。然而,其潜在的生物学机制仍不清楚。血清代谢物可能有助于阐明这些机制。我们研究了与UPF和未加工/最低加工食品(UNPF)摄入量相关的血清代谢物,并评估了它们与选定生化标志物的关联。

方法

在英国生物银行内进行的横断面研究,共纳入72817名参与者,他们提供了24小时回忆饮食数据和134种核磁共振代谢物。使用NOVA分类法评估UPF和UNPF的摄入量,并使用弹性网惩罚回归法识别相关代谢物。使用弹性网系数作为权重,将UPF代谢组学特征计算为与UPF相关代谢物的加权和。使用多变量分位数回归法研究UPF和UNPF相关代谢物与血清C反应蛋白(CRP)、胰岛素样生长因子-1(IGF-1)、性激素结合球蛋白(SHBG)和睾酮之间的关联。

结果

弹性网模型分别确定了17种和15种与UPF和UNPF摄入量独特相关的代谢物。随着UPF摄入量的增加,乙酰乙酸、丙酮、高密度脂蛋白(HDL)直径、二十二碳六烯酸、亚油酸、ω-3脂肪酸(FA)、大HDL胆固醇中的总脂质以及缬氨酸水平降低,但极低密度脂蛋白(LDL)中极小颗粒的游离胆固醇、谷氨酰胺、甘氨酸、糖蛋白乙酰化物、乳酸、饱和FA、鞘磷脂、大LDL中的甘油三酯以及中HDL中的甘油三酯水平升高。对于UNPF摄入量,观察到相反的关系。在UPF相关代谢物与CRP、IGF-1、SHBG和睾酮水平之间观察到异质性关联。UPF代谢组学特征与CRP呈正相关(每标准差回归系数为1.45,95%置信区间为1.385至1.515),与IGF-1呈负相关(-3.16,-4.493,-1.827),与SHBG呈负相关(-13.878,-15.291,-12.465)。

结论

包括极低密度脂蛋白游离胆固醇、饱和FA、甘油三酯、谷氨酰胺、甘氨酸和糖蛋白乙酰化物在内的UPF代谢组学特征与炎症、胰岛素信号传导和生殖生物标志物相关。应探索这种代谢组学特征作为UPF与疾病关联的潜在介质,以及作为UPF摄入量的客观标志物。

https://cdn.ncbi.nlm.nih.gov/pmc/blobs/d979/11786352/4269fd42a8b1/12937_2025_1077_Fig1_HTML.jpg

文献AI研究员

20分钟写一篇综述,助力文献阅读效率提升50倍。

立即体验

用中文搜PubMed

大模型驱动的PubMed中文搜索引擎

马上搜索

文档翻译

学术文献翻译模型,支持多种主流文档格式。

立即体验