Suppr超能文献

新西兰农田中[疾病名称未给出]的传播建模与控制

Modelling transmission and control of in New Zealand farmland.

作者信息

Binny Rachelle N, Hickling Graham J, James Alex, Niebuhr Chris N

机构信息

Manaaki Whenua - Landcare Research, Lincoln, New Zealand.

School of Mathematics and Statistics, University of Canterbury, Christchurch, New Zealand.

出版信息

R Soc Open Sci. 2025 Feb 5;12(2):241282. doi: 10.1098/rsos.241282. eCollection 2025 Feb.

Abstract

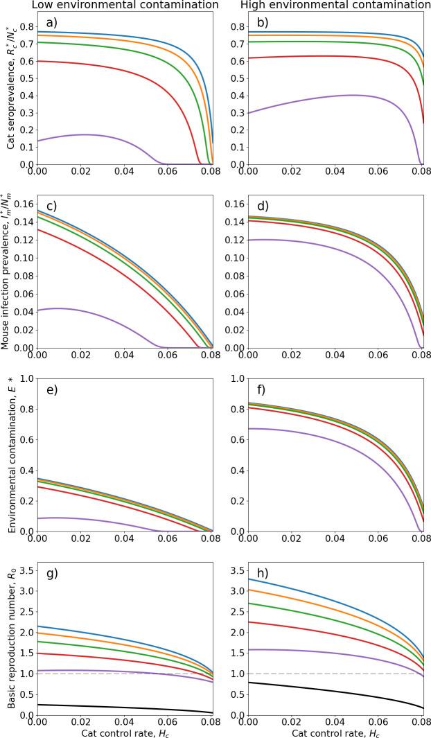
is one of the world's most prevalent parasites and has significant impacts on the health of humans, domestic animals and wildlife. In New Zealand's rural environments, creates economic losses for the farming industry and threatens vulnerable native avifauna and marine mammals. Predator control of rodents and feral cats has potential to reduce or even eliminate transmission of on farms; however, the efficacy of such management is uncertain. We apply a mathematical model of transmission dynamics in feral cat and rodent populations in New Zealand farmland and simulate varying intensities of predator control to predict changes in prevalence and environmental contamination levels over time. The model predicts that predator control is relatively ineffective for reducing transmission in areas with high environmental contamination rates. However, assuming low rates of environmental contamination, local elimination of could be achievable, for example, by control that sustains large reductions of 88%, 69% and 59% in feral cat, house mouse and ship rat populations, respectively, over 56 weeks. Predator control is, therefore, a potentially viable approach for managing in some rural environments, but only if high levels of population control are sustained.

摘要

是世界上最普遍的寄生虫之一,对人类、家畜和野生动物的健康有重大影响。在新西兰的农村环境中,给农业产业造成经济损失,并威胁到脆弱的本地鸟类和海洋哺乳动物。对啮齿动物和野猫进行捕食者控制有可能减少甚至消除农场中的传播;然而,这种管理的效果尚不确定。我们应用了新西兰农田野猫和啮齿动物种群中传播动力学的数学模型,并模拟了不同强度的捕食者控制,以预测随时间推移患病率和环境污染水平的变化。该模型预测,在环境污染率高的地区,捕食者控制对于减少传播相对无效。然而,假设环境污染率较低,例如,通过在56周内分别使野猫、家鼠和船鼠种群数量大幅减少88%、69%和59%的控制措施,有可能实现局部消除。因此,捕食者控制是在一些农村环境中管理的一种潜在可行方法,但前提是要持续保持高水平的种群控制。

https://cdn.ncbi.nlm.nih.gov/pmc/blobs/2bef/11793971/5cee670164b3/rsos.241282.f001.jpg

文献AI研究员

20分钟写一篇综述,助力文献阅读效率提升50倍。

立即体验

用中文搜PubMed

大模型驱动的PubMed中文搜索引擎

马上搜索

文档翻译

学术文献翻译模型,支持多种主流文档格式。

立即体验