Suppr超能文献

白质结构连通性与阿尔茨海默病:一项孟德尔随机化研究

White-Matter Structural Connectivity and Alzheimer's Disease: A Mendelian Randomization Study.

作者信息

Liu Siyu, Geng Daoying

机构信息

Radiology Department, Huashan Hospital, Affiliated with Fudan University, Shanghai, China.

Shanghai Engineering Research Center of Intelligent Imaging for Critical Brain Diseases, Shanghai, China.

出版信息

Brain Behav. 2025 Feb;15(2):e70286. doi: 10.1002/brb3.70286.

Abstract

BACKGROUND

Alzheimer's disease (AD) and white-matter structural connectivity have been linked in some observational studies, although it is unknown if this is a causal relationship. The purpose of this study was to examine the impact of various white-matter structural connectivity on AD via a two-sample multivariate Mendelian randomization (MR) approach.

METHODS

The genome-wide association study (GWAS) of Wainberg et al. provided the summary data on white-matter structural connectivity, and Bellenguez et al.'s study provided the GWAS aggregated data for AD. MR methods included inverse variance weighted, Mendelian randomization Egger, simple mode, weighted median, and weighted mode. Heterogeneity, horizontal pleiotropy, and "leave-one-out" analysis guaranteed the robustness of causation. Finally, reverse MR analysis was conducted on the white-matter structural connectivity that showed positive results in the forward MR analysis.

RESULTS

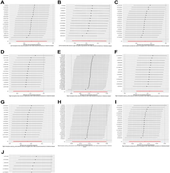
Among 206 white-matter structural connections, we identified 10 connections were strongly correlated with genetic susceptibility to AD. Right-hemisphere limbic network to thalamus white-matter structural connectivity and Right-hemisphere salience_ventral attention network to accumbens white-matter structural connectivity were positively correlated with the likelihood of AD, while the remaining 8 white-matter structural connections were negatively related with AD. None of the above 10 white-matter structural connections have a reverse causal relationship with AD.

CONCLUSION

Our MR study reveals a certain degree of association between white-matter structural connectivity and AD, which may provide support for future diagnosis and treatment of AD.

摘要

背景

在一些观察性研究中,阿尔茨海默病(AD)与白质结构连通性有关联,尽管尚不清楚这是否为因果关系。本研究的目的是通过两样本多变量孟德尔随机化(MR)方法,研究各种白质结构连通性对AD的影响。

方法

Wainberg等人的全基因组关联研究(GWAS)提供了白质结构连通性的汇总数据,Bellenguez等人的研究提供了AD的GWAS汇总数据。MR方法包括逆方差加权、孟德尔随机化Egger法、简单模式、加权中位数和加权模式。异质性、水平多效性和“留一法”分析确保了因果关系的稳健性。最后,对在前向MR分析中显示阳性结果的白质结构连通性进行反向MR分析。

结果

在206个白质结构连接中,我们确定有10个连接与AD的遗传易感性密切相关。右半球边缘网络到丘脑的白质结构连通性以及右半球突显-腹侧注意网络到伏隔核的白质结构连通性与AD的发生可能性呈正相关,而其余8个白质结构连接与AD呈负相关。上述10个白质结构连接均与AD不存在反向因果关系。

结论

我们的MR研究揭示了白质结构连通性与AD之间存在一定程度的关联,这可能为未来AD的诊断和治疗提供支持。

https://cdn.ncbi.nlm.nih.gov/pmc/blobs/1faf/11807845/25c527fe26d0/BRB3-15-e70286-g001.jpg

文献AI研究员

20分钟写一篇综述,助力文献阅读效率提升50倍。

立即体验

用中文搜PubMed

大模型驱动的PubMed中文搜索引擎

马上搜索

文档翻译

学术文献翻译模型,支持多种主流文档格式。

立即体验