Suppr超能文献

老年患者术后衰弱风险预测模型的构建与验证:一项多中心研究

Construction and validation of a risk prediction model for postoperative frailty in older adults:a multicenter study.

作者信息

Lu Shilong, Liang Hao, Fang Jiamin, Chen Rui, Liao Huilian, Xu Mingming, Chen Yumei, Sun Huijin, Dong Lijuan, Guo Yingui, Jiang Zhixia, Xiao Hui, Wei Lin

机构信息

Guangzhou University of Chinese Medicine/State Key Laboratory of Traditional Chinese Medicine Syndrome, The Second Clinical Medical College, Guangzhou University of Chinese Medicine, Guangzhou, China.

Department of Neurology, the Second Affiliated Hospital of Guangzhou University of Chinese Medicine/ Guangdong Provincial Hospital of Chinese medicine, Guangzhou, China.

出版信息

BMC Geriatr. 2025 Feb 10;25(1):88. doi: 10.1186/s12877-025-05741-y.

Abstract

BACKGROUND

Postoperative frailty is an important determinant of postoperative recovery and survival outcomes. Predicting the onset of postoperative frailty is significant importance for the rehabilitation of the elderly people after surgery. Our study aims to develop and evaluate a predictive model for postoperative frailty on the 30 day in elderly patients.

METHODS

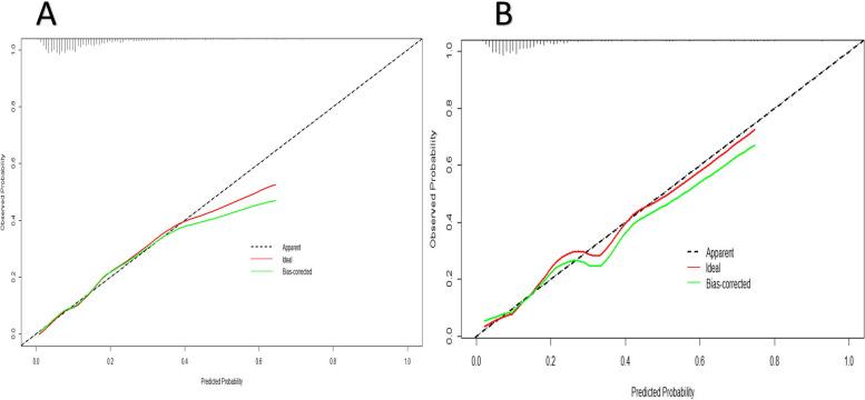
Data from seven Guangzhou hospitals were collected, encompassing 2,290 patients for analysis. This study constructed the model using LASSO regression and stepwise regression, and the optimal predictive model was selected based on comparison. Model performance was assessed through calibration curves, the area under the ROC curve (AUC), and decision curve analysis (DCA).

RESULTS

The final model included the following variables: American Society of Anesthesiologists (ASA) grade, intraoperative blood loss, economic income, caregiver status, sedentary behavior, cognitive function, Activities of Daily Living (ADL), postoperative hemoglobin (Hb) level, and postoperative ICU admission. The model demonstrated good discrimination, with an area under the curve (AUC) of 0.7431 (95% CI = 0.7073-0.7788) in the training set and 0.7285 (95% CI = 0.6671-0.7624) in the validation set.

CONCLUSIONS

According to general demographic information, lifestyle habits, and surgery-related factors, a predictive model for postoperative frailty in the elderly was constructed, which has good predictive power. This model can identify high-risk populations for postoperative frailty and provides a reference for the early detection and intervention of frailty in the elderly in clinical practice.

TRIAL REGISTRATION

This study was registered on May 17, 2023, at the Chinese Clinical Trial Registry (registration number: ChiCTR2300071535).

摘要

背景

术后虚弱是术后恢复和生存结局的重要决定因素。预测术后虚弱的发生对于老年人术后康复具有重要意义。我们的研究旨在开发并评估老年患者术后30天虚弱的预测模型。

方法

收集了来自广州七家医院的数据,共纳入2290例患者进行分析。本研究使用LASSO回归和逐步回归构建模型,并通过比较选择最佳预测模型。通过校准曲线、ROC曲线下面积(AUC)和决策曲线分析(DCA)评估模型性能。

结果

最终模型纳入以下变量:美国麻醉医师协会(ASA)分级、术中失血量、经济收入、照顾者状况、久坐行为、认知功能、日常生活活动能力(ADL)、术后血红蛋白(Hb)水平和术后入住重症监护病房情况。该模型具有良好的区分能力,训练集曲线下面积(AUC)为0.7431(95%CI = 0.7073 - 0.7788),验证集为0.7285(95%CI = 0.6671 - 0.7624)。

结论

根据一般人口统计学信息、生活习惯和手术相关因素,构建了老年患者术后虚弱的预测模型,该模型具有良好的预测能力。该模型可识别术后虚弱的高危人群,为临床实践中老年人虚弱的早期发现和干预提供参考。

试验注册

本研究于2023年5月17日在中国临床试验注册中心注册(注册号:ChiCTR2300071535)。

https://cdn.ncbi.nlm.nih.gov/pmc/blobs/5947/11809004/74c3758e7f45/12877_2025_5741_Fig1_HTML.jpg

文献AI研究员

20分钟写一篇综述,助力文献阅读效率提升50倍。

立即体验

用中文搜PubMed

大模型驱动的PubMed中文搜索引擎

马上搜索

文档翻译

学术文献翻译模型,支持多种主流文档格式。

立即体验