Suppr超能文献

四种miRNA特征在结直肠癌中的诊断和预后意义

Diagnostic and Prognostic Significance of a Four-miRNA Signature in Colorectal Cancer.

作者信息

Gattuso Giuseppe, Longo Federica, Spoto Graziana, Ricci Daria, Lavoro Alessandro, Candido Saverio, Di Cataldo Antonio, Broggi Giuseppe, Salvatorelli Lucia, Magro Gaetano, Libra Massimo, Falzone Luca

机构信息

Department of Biomedical and Biotechnological Sciences, University of Catania, 95123 Catania, Italy.

Research Center for Prevention, Diagnosis and Treatment of Cancer, University of Catania, 95123 Catania, Italy.

出版信息

Int J Mol Sci. 2025 Jan 30;26(3):1219. doi: 10.3390/ijms26031219.

Abstract

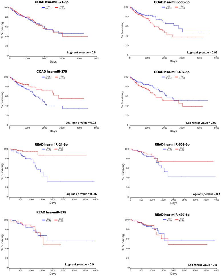
Colorectal cancer (CRC) is the fourth most commonly diagnosed cancer and one of the leading causes of cancer death worldwide. Despite diagnostic and therapeutic advances, CRC mortality remains high, especially in industrialized countries. Numerous studies have highlighted the pathogenetic role of altered microRNA (miRNA) expression among the various factors contributing to the development and progression of colorectal cancer (CRC). However, the data regarding specific miRNAs involved in CRC pathogenesis remain inconsistent, and no miRNAs have been recognized so far as reliable or effective biomarkers for the diagnosis of this tumor type. To identify novel miRNA biomarkers in CRC, this study validated the expression levels of a four-miRNA signature predicted to be involved in CRC by analyzing both tissue and liquid biopsy samples. Our experimental and bioinformatics results highlighted the diagnostic potential of hsa-miR-21-5p, hsa-miR-503-5p, and hsa-miR-375, as well as the potential prognostic value of hsa-miR-497-5p overexpression and hsa-miR-375-3p downregulation. Overall, the results obtained suggest the diagnostic and prognostic significance of this four-miRNA signature in CRC.

摘要

结直肠癌(CRC)是全球第四大常见诊断癌症,也是癌症死亡的主要原因之一。尽管在诊断和治疗方面取得了进展,但CRC死亡率仍然很高,尤其是在工业化国家。众多研究强调了在导致结直肠癌(CRC)发生和发展的各种因素中,微小RNA(miRNA)表达改变的致病作用。然而,关于参与CRC发病机制的特定miRNA的数据仍然不一致,迄今为止,尚未有miRNA被公认为是诊断这种肿瘤类型的可靠或有效生物标志物。为了鉴定CRC中的新型miRNA生物标志物,本研究通过分析组织和液体活检样本,验证了预测参与CRC的四种miRNA特征的表达水平。我们的实验和生物信息学结果突出了hsa-miR-21-5p、hsa-miR-503-5p和hsa-miR-375的诊断潜力,以及hsa-miR-497-5p过表达和hsa-miR-375-3p下调的潜在预后价值。总体而言,所获得的结果表明这种四种miRNA特征在CRC中具有诊断和预后意义。

https://cdn.ncbi.nlm.nih.gov/pmc/blobs/c90e/11818852/168098aea501/ijms-26-01219-g001.jpg

文献AI研究员

20分钟写一篇综述,助力文献阅读效率提升50倍。

立即体验

用中文搜PubMed

大模型驱动的PubMed中文搜索引擎

马上搜索

文档翻译

学术文献翻译模型,支持多种主流文档格式。

立即体验