Suppr超能文献

评估环境细菌在控制食品腐败细菌生物膜方面的抗生物膜和群体感应淬灭能力。

Assessment of antibiofilm and quorum quenching potencies of environmental bacteria in controlling biofilm of food spoilage bacteria.

作者信息

Charen Christine, Waturangi Diana Elizabeth

机构信息

Department of Biotechnology, School of Bioscience, Technology, and Innovation, Atma Jaya Catholic University of Indonesia, Jalan Jenderal Sudirman 51, Jakarta, 12930, Indonesia.

出版信息

BMC Res Notes. 2025 Feb 17;18(1):71. doi: 10.1186/s13104-025-07141-2.

Abstract

OBJECTIVES

This research aims to investigate anti-quorum sensing and antibiofilm activity of supernatants from environmental bacteria against the biofilm formed by food spoilage bacteria such as Bacillus cereus, Bacillus subtilis, and Shewanella putrefaciens.

RESULTS

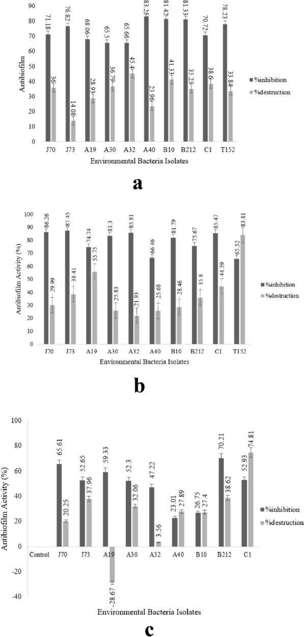
Supernatants were generated from ten environmental bacteria isolates (A19, A30, A32, A40, B10, B212, C1, J70, J73, and T152), with four isolates (A19, A32, A40, B212) showed anti-quorum sensing activity against Chromobacterium violaceum wild type as indicator bacteria. In inhibition and destruction assays, the highest percentage inhibition of 81.42% and 81.33% by B10 and B212, respectively, against B. cereus and J73 against B. subtilis was recorded at 87.45%. While A32, T152, and C1 performed the highest destruction against B. cereus, B. subtilis, and S. putrefaciens with percentages of 45.4%, 83.81%, 74.81%, respectively. Observation using light microscopy and Scanning Electron Microscopy (SEM) revealed C, O, Na, Mg, Al, Si, K, and Ca elements were detected which might play role in biofilm formation. Based on 16s rRNA sequencing, the environmental bacteria isolates were identified as Enterobacter, Acinetobacter, Acinetobacter, Pantoea genera, C1, and T152. These results imply that these bacteria have destructing and inhibiting potential against Bacillus cereus, Bacillus subtillis, Shewanella putrefaciens.

摘要

目的

本研究旨在调查环境细菌的上清液对由蜡样芽孢杆菌、枯草芽孢杆菌和腐败希瓦氏菌等食品腐败细菌形成的生物膜的群体感应抑制和抗生物膜活性。

结果

从十种环境细菌分离株(A19、A30、A32、A40、B10、B212、C1、J70、J73和T152)中获得上清液,其中四种分离株(A19、A32、A40、B212)对紫色色杆菌野生型作为指示菌表现出群体感应抑制活性。在抑制和破坏试验中,B10和B212分别对蜡样芽孢杆菌的最高抑制率为81.42%,J73对枯草芽孢杆菌的最高抑制率为87.45%。而A32、T152和C1对蜡样芽孢杆菌、枯草芽孢杆菌和腐败希瓦氏菌的破坏率最高,分别为45.4%、83.81%、74.81%。使用光学显微镜和扫描电子显微镜(SEM)观察发现检测到C、O、Na、Mg、Al、Si、K和Ca元素,这些元素可能在生物膜形成中起作用。基于16s rRNA测序,环境细菌分离株被鉴定为肠杆菌属、不动杆菌属、不动杆菌属、泛菌属、C1和T152。这些结果表明这些细菌对蜡样芽孢杆菌、枯草芽孢杆菌、腐败希瓦氏菌具有破坏和抑制潜力。

https://cdn.ncbi.nlm.nih.gov/pmc/blobs/0c01/11834272/1d38464801e5/13104_2025_7141_Fig1_HTML.jpg

文献AI研究员

20分钟写一篇综述,助力文献阅读效率提升50倍。

立即体验

用中文搜PubMed

大模型驱动的PubMed中文搜索引擎

马上搜索

文档翻译

学术文献翻译模型,支持多种主流文档格式。

立即体验