Suppr超能文献

空气污染对患有阿尔茨海默病及与阿尔茨海默病相关痴呆症的医疗保险受益人的死亡率和再入院率的影响:美国一项全国性回顾性队列研究

The impacts of air pollution on mortality and hospital readmission among Medicare beneficiaries with Alzheimer's disease and Alzheimer's disease-related dementias: a national retrospective cohort study in the USA.

作者信息

Dong Shuxin, Braun Danielle, Wu Xiao, Yitshak-Sade Maayan, Blacker Deborah, Kioumourtzoglou Marianthi-Anna, Schwartz Joel, Mork Daniel, Dominici Francesca, Zanobetti Antonella

机构信息

Department of Environmental Health, Harvard T.H. Chan School of Public Health, Boston, MA, USA.

Department of Biostatistics, Harvard T.H. Chan School of Public Health, Boston, MA, USA; Department of Data Science, Dana-Farber Cancer Institute, Boston, MA, USA.

出版信息

Lancet Planet Health. 2025 Feb;9(2):e114-e123. doi: 10.1016/S2542-5196(25)00001-4.

Abstract

BACKGROUND

Alzheimer's disease and Alzheimer's disease-related dementias (AD/ADRD) are prevalent neurodegenerative disorders, posing a critical worldwide public health challenge. Ambient air pollution has been identified as a potential risk factor for AD progression based on toxicological and epidemiological studies. We aimed to evaluate the impacts of air pollution-including fine particulate matter (PM), nitrogen dioxide (NO), summer ozone (O), and oxidant-on readmission or death among Medicare enrollees previously hospitalised with an AD/ADRD diagnosis code.

METHODS

We constructed a population-based nationwide retrospective cohort including all Medicare fee-for-service beneficiaries (aged ≥65 years) in the contiguous USA (2000-16) hospitalised with AD/ADRD, and followed them up from the year after their first hospitalisation until (1) year of death (mortality cohort) and (2) year of second hospitalisation for any cause (readmission cohort). We calculated annual average PM, NO, summer O, and oxidant concentrations for each individual at their residential ZIP code in each year after their first hospitalisation with AD/ADRD. We applied Cox proportional hazard models for the mortality and readmission cohorts stratifying on individual risk factors and adjusting for socioeconomic status, seasonal temperatures, and relative humidity.

FINDINGS

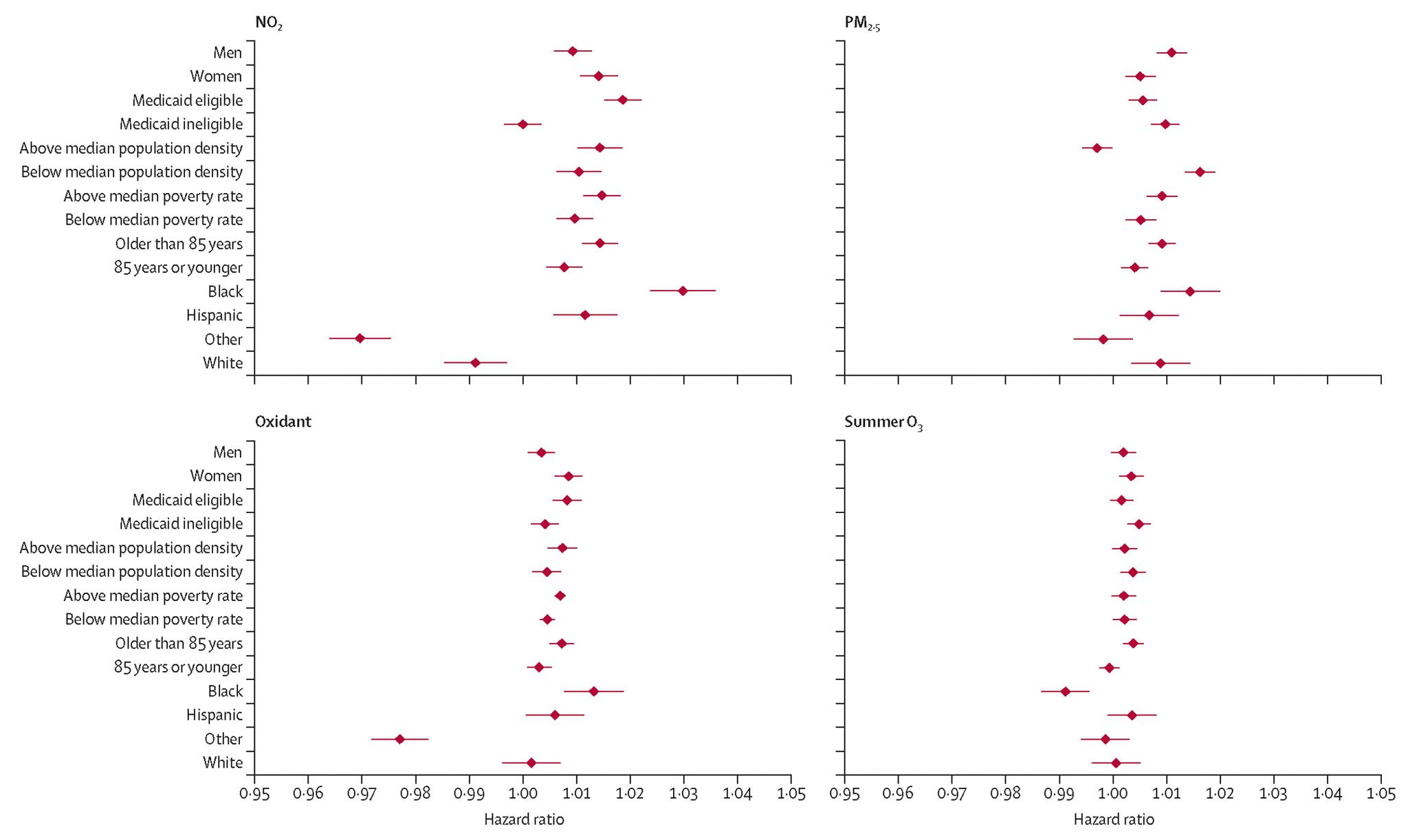
Our cohort consisted of 5 544 118 individuals, of whom 4 543 759 (82·0%) died and 3 880 894 (70·0%) were readmitted to the hospital during the study period. The average follow-up times were 3·34 years (SD 2·60) for the mortality cohort and 1·98 years (SD 1·65) for the readmission cohort. In both the mortality and readmission cohorts we found significant associations with each pollutant. For an IQR increase in NO, we found a hazard ratio (HR) for mortality of 1·012 (95% CI 1·009-1·015) and an HR for readmission of 1·110 (1·104-1·117). In the readmission cohort, we found an HR of 1·084 (1·079-1·089) for an IQR increase (3·87 μg/m) in PM. The results slightly decreased in multi-pollutant models. The results of effect modification for mortality and readmission varied by pollutant, but higher risks were found among Black males and among those eligible for Medicaid in general.

INTERPRETATION

We provide new evidence that among a susceptible population with previous AD/ADRD-related hospitalisations, annual air pollution exposure since first hospitalisation is associated with risk of readmission and death.

FUNDING

National Institute on Aging.

摘要

背景

阿尔茨海默病及与阿尔茨海默病相关的痴呆症(AD/ADRD)是常见的神经退行性疾病,给全球公共卫生带来了严峻挑战。基于毒理学和流行病学研究,环境空气污染已被确认为AD进展的潜在风险因素。我们旨在评估空气污染(包括细颗粒物(PM)、二氧化氮(NO)、夏季臭氧(O)和氧化剂)对先前因AD/ADRD诊断代码住院的医疗保险参保者再次入院或死亡的影响。

方法

我们构建了一个基于人群的全国性回顾性队列,纳入美国本土(2000 - 2016年)所有因AD/ADRD住院的医疗保险按服务收费受益人(年龄≥65岁),并从他们首次住院后的次年开始随访,直至(1)死亡年份(死亡率队列)和(2)因任何原因再次住院的年份(再入院队列)。我们计算了每位个体在首次因AD/ADRD住院后每年其居住邮政编码区域的年度平均PM、NO、夏季O和氧化剂浓度。我们对死亡率和再入院队列应用Cox比例风险模型,对个体风险因素进行分层,并对社会经济地位、季节温度和相对湿度进行调整。

结果

我们的队列包括5544118名个体,其中4543759名(82.0%)在研究期间死亡,3880894名(70.0%)再次入院。死亡率队列的平均随访时间为3.34年(标准差2.60),再入院队列的平均随访时间为1.98年(标准差1.65)。在死亡率和再入院队列中,我们发现每种污染物都有显著关联。对于NO每增加一个四分位数间距(IQR),我们发现死亡率的风险比(HR)为1.012(95%置信区间1.009 - 1.015),再入院的HR为1.110(1.104 - 1.117)。在再入院队列中,对于PM每增加一个IQR(3.87 μg/m),我们发现HR为1.084(1.079 - 1.089)。在多污染物模型中结果略有下降。死亡率和再入院的效应修饰结果因污染物而异,但总体上在黑人男性和符合医疗补助条件的人群中发现风险更高。

解读

我们提供了新的证据,表明在先前有AD/ADRD相关住院史的易感人群中,自首次住院以来的年度空气污染暴露与再次入院和死亡风险相关。

资金来源

美国国立衰老研究所。

https://cdn.ncbi.nlm.nih.gov/pmc/blobs/a79a/11970897/a5ef222a9a32/nihms-2059493-f0001.jpg

文献AI研究员

20分钟写一篇综述,助力文献阅读效率提升50倍。

立即体验

用中文搜PubMed

大模型驱动的PubMed中文搜索引擎

马上搜索

文档翻译

学术文献翻译模型,支持多种主流文档格式。

立即体验