Suppr超能文献

基于机器学习筛选基底膜相关基因并构建肾纤维化预测模型

Machine learning selection of basement membrane-associated genes and development of a predictive model for kidney fibrosis.

作者信息

Yuan Ziwei, Lv Guangjia, Liu Xinyan, Xiao Yanyi, Tan Yuanfang, Zhu Youyou

机构信息

Department of Laboratory Medicine, The Third People's Hospital of Ganzhou, 341000, Ganzhou, China.

College of Life Sciences, Northeast Forestry University, Harbin, 150004, China.

出版信息

Sci Rep. 2025 Feb 24;15(1):6567. doi: 10.1038/s41598-025-89733-3.

Abstract

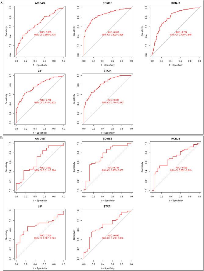
This study investigates the role of basement membrane-related genes in kidney fibrosis, a significant factor in the progression of chronic kidney disease that can lead to end-stage renal failure. The authors aim to develop a predictive model using machine learning techniques due to the limitations of existing diagnostic methods, which often lack sensitivity and specificity. Utilizing gene expression data from the GEO database, the researchers applied LASSO, Random Forest, and SVM-RFE methods to identify five pivotal genes: ARID4B, EOMES, KCNJ3, LIF, and STAT1. These genes were analyzed across training and validation datasets, resulting in the development of a Nomogram prediction model. Performance metrics, including the area under the ROC curve (AUC), calibration curves, and decision curve analysis, indicated excellent predictive capabilities with an AUC of 0.923. Experimental validation through qRT-PCR in clinical samples and TGF-β-treated HK-2 cells corroborated the expression patterns identified in silico, showing upregulation of ARID4B, EOMES, LIF, and STAT1, and downregulation of KCNJ3. The findings emphasize the importance of basement membrane-related genes in kidney fibrosis and pave the way for enhanced early diagnosis and targeted therapeutic strategies.

摘要

本研究调查了基底膜相关基因在肾纤维化中的作用,肾纤维化是慢性肾脏病进展的一个重要因素,可导致终末期肾衰竭。由于现有诊断方法存在局限性,往往缺乏敏感性和特异性,作者旨在使用机器学习技术开发一种预测模型。研究人员利用来自GEO数据库的基因表达数据,应用LASSO、随机森林和支持向量机递归特征消除方法,以识别五个关键基因:ARID4B、EOMES、KCNJ3、LIF和STAT1。在训练和验证数据集中对这些基因进行分析,从而开发出一种列线图预测模型。包括ROC曲线下面积(AUC)、校准曲线和决策曲线分析在内的性能指标表明,该模型具有出色的预测能力,AUC为0.923。通过对临床样本和经转化生长因子-β处理的HK-2细胞进行qRT-PCR实验验证,证实了在计算机模拟中确定的表达模式,显示ARID4B、EOMES、LIF和STAT1上调,而KCNJ3下调。这些发现强调了基底膜相关基因在肾纤维化中的重要性,并为加强早期诊断和靶向治疗策略铺平了道路。

https://cdn.ncbi.nlm.nih.gov/pmc/blobs/e4cc/11850825/f0cc56fb8812/41598_2025_89733_Fig1_HTML.jpg

文献AI研究员

20分钟写一篇综述,助力文献阅读效率提升50倍。

立即体验

用中文搜PubMed

大模型驱动的PubMed中文搜索引擎

马上搜索

文档翻译

学术文献翻译模型,支持多种主流文档格式。

立即体验