Suppr超能文献

通过东亚人群的孟德尔随机化全表型关联研究揭示的HbA1c与多种疾病之间的因果关联。

Causal associations between HbA1c and multiple diseases unveiled through a Mendelian randomization phenome-wide association study in East Asian populations.

作者信息

Han Li, Xu Shuling, Chen Rumeng, Zheng Zhiwei, Ding Yining, Wu Zhu, Li Sen, He Binsheng, Bao Meihua

机构信息

Hunan Key Laboratory of the Research and Development of Novel Pharmaceutical Preparations, School of Pharmaceutical Science, Changsha Medical University, Changsha, China.

The First Affiliated Hospital of Changsha Medical University, Changsha, Hunan, China.

出版信息

Medicine (Baltimore). 2025 Mar 14;104(11):e41861. doi: 10.1097/MD.0000000000041861.

Abstract

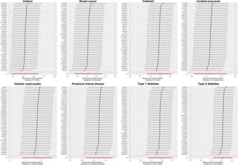
Most analyses of hemoglobin A1c (HbA1c) and multiple common diseases have focused on European populations, thus there is a need for Mendelian randomization phenome-wide association study (MR-PheWAS) in East Asian populations. We used MR-PheWAS to investigate the potential causal associations between HbA1c and 159 types of diseases in the Biobank Japan dataset, employing the inverse variance weighted as the primary statistical approach, supplemented by MR-Egger and weighted median analyses. Additionally, multiple sensitivity analyses were conducted to assess heterogeneity and pleiotropy. High HbA1c levels are associated with an increased risk of type 1 diabetes (odds ratio [OR] = 4.07; 95% confidence interval [CI]: 2.347.07), type 2 diabetes (OR = 4.76; 95% CI: 3.017.55), cataract (OR = 1.33; 95% CI: 1.181.51), diabetic nephropathy (OR = 5.70; 95% CI: 2.2414.46), and peripheral arterial disease (OR = 1.62; 95% CI: 1.292.04). Conversely, elevated HbA1c levels are associated with a reduced risk of asthma (OR = 0.76; 95% CI: 0.670.86), breast cancer (OR = 0.75; 95% CI: 0.650.87), and cerebral aneurysm (OR = 0.71; 95% CI: 0.570.88). The results of the causal association between HbA1c and numerous diseases in East Asian populations provides insights for the region's specialized glycemic control and disease prevention programs, as well as new preventive and treatment options.

摘要

大多数关于糖化血红蛋白(HbA1c)与多种常见疾病的分析都集中在欧洲人群,因此有必要在东亚人群中开展孟德尔随机化全表型关联研究(MR-PheWAS)。我们利用MR-PheWAS在日本生物银行数据集中研究HbA1c与159种疾病之间的潜在因果关联,采用逆方差加权作为主要统计方法,并辅以MR-Egger和加权中位数分析。此外,还进行了多项敏感性分析以评估异质性和多效性。高HbA1c水平与1型糖尿病风险增加相关(优势比[OR]=4.07;95%置信区间[CI]:2.347.07)、2型糖尿病(OR=4.76;95%CI:3.017.55)、白内障(OR=1.33;95%CI:1.181.51)、糖尿病肾病(OR=5.70;95%CI:2.2414.46)和外周动脉疾病(OR=1.62;95%CI:1.292.04)。相反,HbA1c水平升高与哮喘风险降低相关(OR=0.76;95%CI:0.670.86)、乳腺癌(OR=0.75;95%CI:0.650.87)和脑动脉瘤(OR=0.71;95%CI:0.570.88)。东亚人群中HbA1c与众多疾病之间因果关联的结果为该地区的专业血糖控制和疾病预防计划提供了见解,并带来了新的预防和治疗选择。

https://cdn.ncbi.nlm.nih.gov/pmc/blobs/465a/11922474/7f16339360bd/medi-104-e41861-g001.jpg

文献AI研究员

20分钟写一篇综述,助力文献阅读效率提升50倍。

立即体验

用中文搜PubMed

大模型驱动的PubMed中文搜索引擎

马上搜索

文档翻译

学术文献翻译模型,支持多种主流文档格式。

立即体验