Suppr超能文献

马赛游牧牧民中的儿童疫苗接种趋势:来自肯尼亚一项基于社区的疫苗登记处的见解。

Childhood vaccination trends among the Maasai nomadic pastoralists: Insights from a community-based vaccine registry in Kenya.

作者信息

Odhiambo Julius Nyerere, Dolan Carrie B, Thompson Evelyn, O'Neill Katie, Sankok John, Kimani Rose

机构信息

Department of Health Sciences, William and Mary, Williamsburg, Virginia, United States of America.

Ignite Global Health Research Lab, Global Research Institute, William and Mary, Williamsburg, Virginia, United States of America.

出版信息

PLOS Glob Public Health. 2025 Mar 25;5(3):e0004077. doi: 10.1371/journal.pgph.0004077. eCollection 2025.

Abstract

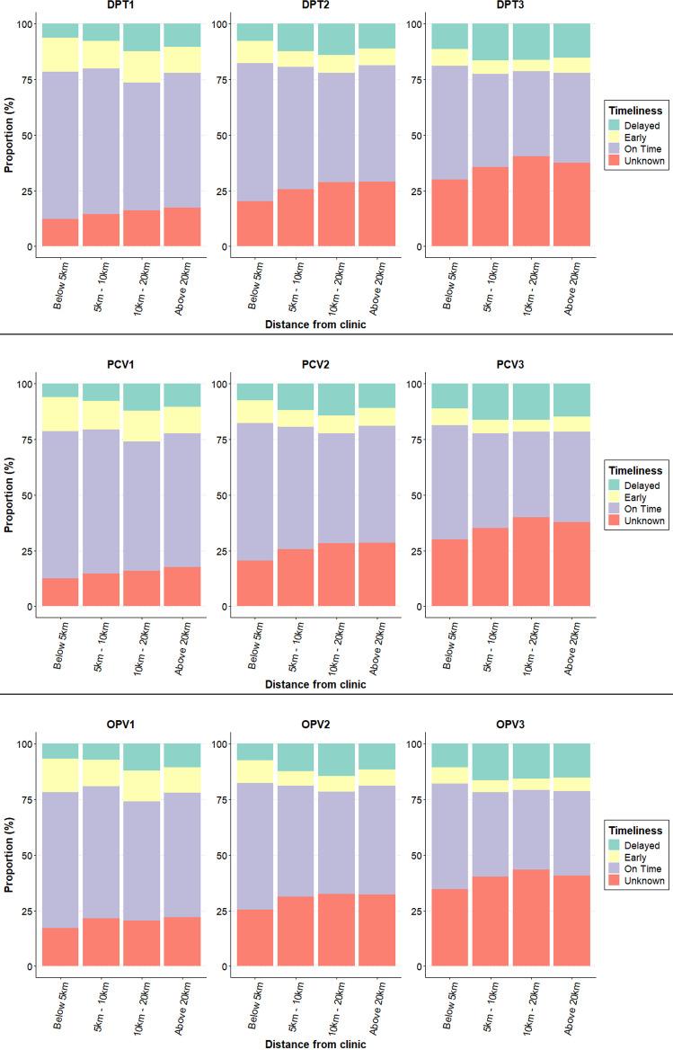
Inequities in vaccination timeliness and coverage contribute to disparities in childhood health and survival. Regular, reliable estimates are needed to take programmatic action and track progress towards initiatives such as the Immunization Agenda 2030. This study assessed the timeliness, coverage, and drop-out rates of reported immunization data from a community healthcare registry. We retrospectively reviewed vaccination records of 8487 children across 176 villages. The proportion of children receiving early, timely and delayed vaccination was computed by vaccine, village and year. Coverage of each vaccine was calculated as the number of reported doses divided by the number of children who received Bacillus Calmette-Guerin (BCG), a birth dose serving as the service-based denominator. Vaccine dropout by year was estimated as the proportion of children who received the first dose of a vaccine but did not receive the subsequent dose. For multi-dose vaccines, on-time vaccination rates were highest for the first dose but declined with subsequent doses. The largest declines between the first and third doses were observed in DPT (29.07%), Pneumococcal Conjugate Vaccine (28.84%), and Oral Polio Vaccine (28.79%). The Measles-Rubella vaccine had the highest dropout rate (64.66%) between its two doses, largely due to delays in administering the second dose at 18 months. Overall, vaccination coverage steadily declined from mid-2020 to 2022, with proximity to healthcare facilities strongly linked to higher coverage and lower dropout rates. The study confirmed that community level estimates were significantly below the national immunization targets. Understanding factors affecting coverage, timeliness and dropout rates at this level is important for building a strong and sustainable vaccine ecosystem for hard-to-reach communities.

摘要

疫苗接种及时性和覆盖率的不平等导致儿童健康和生存方面的差异。需要定期、可靠的估计数据来采取规划行动,并跟踪实现《2030年免疫议程》等倡议的进展情况。本研究评估了社区医疗登记处报告的免疫数据的及时性、覆盖率和退出率。我们回顾性审查了176个村庄中8487名儿童的疫苗接种记录。按疫苗、村庄和年份计算接受早期、及时和延迟接种疫苗的儿童比例。每种疫苗的覆盖率计算为报告的接种剂量数除以接种卡介苗(BCG)的儿童人数,卡介苗作为基于服务的分母。按年份估计的疫苗退出率为接种了第一剂疫苗但未接种后续剂次的儿童比例。对于多剂次疫苗,第一剂的按时接种率最高,但随后各剂次的按时接种率下降。在白喉、百日咳、破伤风混合疫苗(DPT,下降29.07%)、肺炎球菌结合疫苗(下降28.84%)和口服脊髓灰质炎疫苗(下降28.79%)中,观察到第一剂和第三剂之间下降幅度最大。麻疹风疹疫苗在两剂之间的退出率最高(64.66%),主要原因是18个月龄时第二剂的接种延迟。总体而言,从2020年年中到2022年,疫苗接种覆盖率稳步下降,靠近医疗机构与更高的覆盖率和更低的退出率密切相关。该研究证实,社区层面的估计值明显低于国家免疫目标。了解这一层面影响覆盖率、及时性和退出率的因素对于为难以到达的社区建立强大且可持续的疫苗生态系统至关重要。

https://cdn.ncbi.nlm.nih.gov/pmc/blobs/b3ef/11936188/95a6b008f865/pgph.0004077.g001.jpg

文献AI研究员

20分钟写一篇综述,助力文献阅读效率提升50倍。

立即体验

用中文搜PubMed

大模型驱动的PubMed中文搜索引擎

马上搜索

文档翻译

学术文献翻译模型,支持多种主流文档格式。

立即体验