Suppr超能文献

壳聚糖及其衍生物作为药物递送的纳米载体

Chitosan and Its Derivatives as Nanocarriers for Drug Delivery.

作者信息

Biswas Ranu, Mondal Sourav, Ansari Md Ahesan, Sarkar Tanima, Condiuc Iustina Petra, Trifas Gisela, Atanase Leonard Ionut

机构信息

Department of Pharmaceutical Technology, Jadavpur University, Kolkata 700032, WB, India.

Faculty of Medicine, Grigore T. Popa University of Medicine and Pharmacy, 700115 Iasi, Romania.

出版信息

Molecules. 2025 Mar 13;30(6):1297. doi: 10.3390/molecules30061297.

Abstract

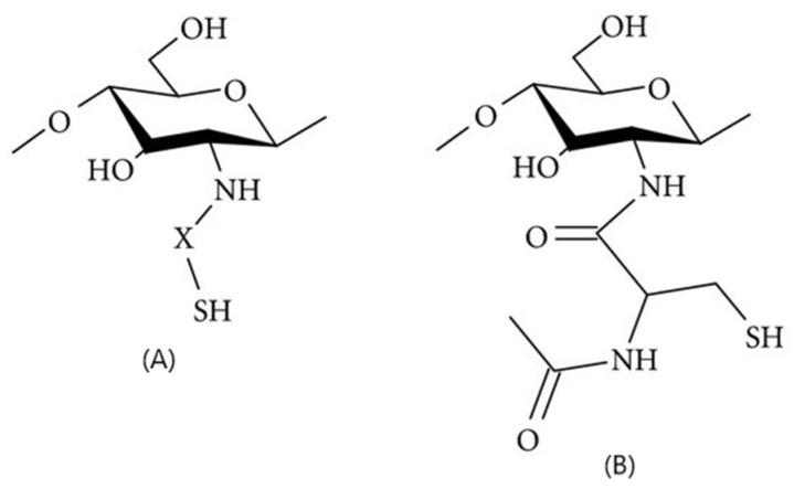
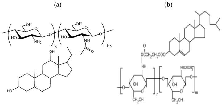
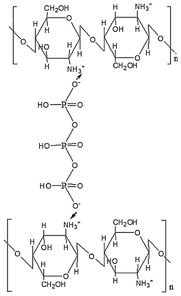
Chitosan (CS) occurs naturally as an alkaline polysaccharide and has been demonstrated to have several activities of a biological nature. Additionally, as CS chains have functional hydroxyl and amino groups that are active, their applications can be expanded by chemically or molecularly altering the molecules to incorporate new functional groups. Due to its outstanding qualities, including biodegradability, biocompatibility, non-toxicity, and accessibility, it has received significant interest in all areas of biomedicine and nanomaterials being extremely promising as drug nanocarrier. The last decades have produced a lot of interest in CS-based nanoparticles (CSNPs), with an increasing number of research papers from around 1500 in 2015 to almost 5000 in 2024. The degree of crosslinking, the particulate system's shape, size, and density, in addition to the drug's physical and chemical properties, all have a role in how the drug is transported and released from CSNPs. When creating potential drug delivery systems based on CSNPs, all these factors must be considered. In earlier, CSNPs were employed to enhance the pharmacotherapeutics, pharmacokinetics, and solubility properties of drugs. By investigating its positively charged characteristics and changeable functional groups, CS has evolved into a versatile drug delivery system. The drug release from CSNPs will definitely be influenced by various changes to the functional groups, charges, and polymer backbone. This review mainly discusses the most important results published in the last decade. Despite the promising advantages of CSNPs, challenges related to the translation into clinical stages remain and further in vitro and in vivo studies are mandatory.

摘要

壳聚糖(CS)作为一种碱性多糖天然存在,并已被证明具有多种生物活性。此外,由于CS链具有活性的官能羟基和氨基,可以通过化学或分子方式改变分子以引入新的官能团来扩展其应用。由于其具有生物可降解性、生物相容性、无毒性和易获得性等突出特性,它在生物医学和纳米材料的各个领域都引起了极大的关注,作为药物纳米载体极具前景。在过去几十年中,基于壳聚糖的纳米颗粒(CSNPs)引起了广泛关注,研究论文的数量从2015年的约1500篇增加到2024年的近5000篇。除了药物的物理和化学性质外,交联程度、颗粒系统的形状、大小和密度,都对药物从CSNPs中的转运和释放方式有影响。在创建基于CSNPs的潜在药物递送系统时,必须考虑所有这些因素。早期,CSNPs被用于增强药物的药效学、药代动力学和溶解性。通过研究其带正电荷的特性和可变的官能团,CS已发展成为一种多功能的药物递送系统。CSNPs的药物释放肯定会受到官能团、电荷和聚合物主链各种变化的影响。本综述主要讨论了过去十年中发表的最重要的研究结果。尽管CSNPs具有令人期待的优势,但向临床阶段转化仍面临挑战,进一步的体外和体内研究是必不可少的。

https://cdn.ncbi.nlm.nih.gov/pmc/blobs/c724/11946192/8ee25c422662/molecules-30-01297-g001.jpg

文献AI研究员

20分钟写一篇综述,助力文献阅读效率提升50倍。

立即体验

用中文搜PubMed

大模型驱动的PubMed中文搜索引擎

马上搜索

文档翻译

学术文献翻译模型,支持多种主流文档格式。

立即体验