Suppr超能文献

吸入用妥布霉素干粉在囊性纤维化儿童中的耐受性和药代动力学评估。

Tolerability and Pharmacokinetic Evaluation of Inhaled Dry Powder Tobramycin in Children with Cystic Fibrosis.

作者信息

Akkerman-Nijland Anne M, Hagedoorn Paul, Rottier Bart L, Grasmeijer Floris, Frijlink Henderik Erik W, van Luin Mathijs, Ter Weijden E, Merkus Peter J, Touw Daan J, Akkerman Onno W, Koppelman Gerard H

机构信息

Department of Pediatric Pulmonology and Pediatric Allergology, Beatrix Children's Hospital, University Medical Center Groningen, University of Groningen, 9713 Groningen, The Netherlands.

Groningen Research Institute for Asthma and COPD (GRIAC), University Medical Center Groningen, University of Groningen, 9713 Groningen, The Netherlands.

出版信息

Pharmaceutics. 2025 Mar 7;17(3):347. doi: 10.3390/pharmaceutics17030347.

Abstract

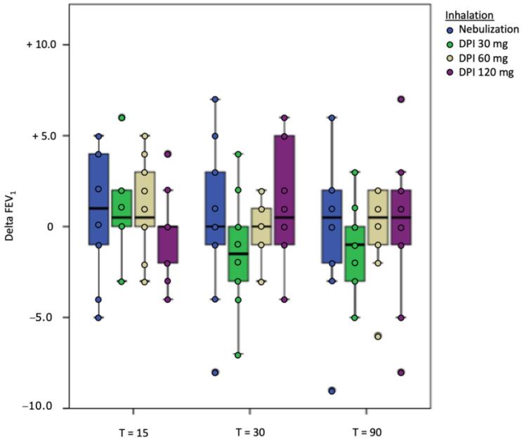
() is the predominant pulmonary pathogen in persons with Cystic Fibrosis (CF). Nebulization with tobramycin or colistin is mostly applied but has a significant treatment burden. Dry powder (DP) inhalation may offer an attractive alternative. The aim of this study was to assess local tolerability and the systemic pharmacokinetic parameters of increasing doses of dry powder tobramycin. : This was a local tolerability and pharmacokinetic evaluation pilot study DP tobramycin of three different doses inhaled through the Cyclops (30, 60, 120 mg) in ten persons with CF, aged 6-18 years, compared to nebulization of tobramycin solution. : Both nebulization of tobramycin in solution and inhalation of dry powder tobramycin were well tolerated. None of the participants showed a significant drop in FEV after inhalation. The only two adverse events were cough and bad taste in, respectively, 20% and 13% of all inhalations, compared to 10% cough and 60% bad taste with nebulization. Systemic tobramycin levels were not detected after 30 mg, detected only in 10% after 60 mg and in 30% after 120 mg, compared to 80% after nebulization. : Inhalation of dry powder tobramycin using the Cyclops is well tolerated, with no significant drop in FEV, and only mild adverse events of cough and bad taste. We found only a few detectable systemic tobramycin levels after inhalation of dry powder tobramycin. We recommend that future studies should focus on the relation between dose and inhaler resistance in different pediatric age groups.

摘要

()是囊性纤维化(CF)患者主要的肺部病原体。雾化吸入妥布霉素或黏菌素是最常用的治疗方法,但治疗负担较重。干粉吸入可能是一种有吸引力的替代方法。本研究的目的是评估递增剂量的干粉妥布霉素的局部耐受性和全身药代动力学参数。:这是一项局部耐受性和药代动力学评估的试点研究,在10名6至18岁的CF患者中,通过Cyclops吸入三种不同剂量(30、60、120毫克)的干粉妥布霉素,并与雾化吸入妥布霉素溶液进行比较。:雾化吸入妥布霉素溶液和吸入干粉妥布霉素均耐受性良好。所有参与者吸入后FEV均未出现显著下降。仅有的两个不良事件分别是咳嗽和味觉异常,在所有吸入中分别占20%和13%,而雾化吸入时咳嗽占10%,味觉异常占60%。30毫克后未检测到全身妥布霉素水平,60毫克后仅10%检测到,120毫克后30%检测到,而雾化吸入后为80%。:使用Cyclops吸入干粉妥布霉素耐受性良好,FEV无显著下降,仅出现咳嗽和味觉异常等轻度不良事件。吸入干粉妥布霉素后仅发现少数可检测到的全身妥布霉素水平。我们建议未来的研究应关注不同儿科年龄组剂量与吸入器阻力之间的关系。

https://cdn.ncbi.nlm.nih.gov/pmc/blobs/b677/11944668/fea79c39a7b6/pharmaceutics-17-00347-g001.jpg

文献AI研究员

20分钟写一篇综述,助力文献阅读效率提升50倍。

立即体验

用中文搜PubMed

大模型驱动的PubMed中文搜索引擎

马上搜索

文档翻译

学术文献翻译模型,支持多种主流文档格式。

立即体验