Suppr超能文献

屈光不正疾病的全球、区域和国家负担:全球疾病负担研究2021的结果及到2050年的预测

Global, regional, and national burden of refraction disorders: findings from the global burden of disease study 2021 and projections to 2050.

作者信息

Dai Miaomiao, Ouyang Yi

机构信息

Department of Ophthalmology, Shunde Hospital, Southern Medical University (The First People's Hospital of Shunde, Foshan), No.1 Jiazi Road, Lunjiao, Shunde District, Foshan City, Guangdong Province, China.

Department of Joint Surgery, Shunde Hospital, Southern Medical University (The First People's Hospital of Shunde, Foshan), No.1 Jiazi Road, Lunjiao, Shunde District, Foshan City, Guangdong Province, China.

出版信息

BMC Public Health. 2025 Apr 2;25(1):1247. doi: 10.1186/s12889-025-22440-w.

Abstract

BACKGROUND

Refraction disorders are the leading cause of visual impairment worldwide. This study investigates the global burden and trends of refraction disorders from 1990 to 2021, with projections extending to 2050.

METHODS

Data on prevalence and disability-adjusted life years (DALYs) for refraction disorders, along with their 95% uncertainty intervals (UIs), were obtained from the Global Burden of Diseases, Injuries, and Risk Factors Study (GBD) 2021. The study provides a comprehensive analysis of the epidemiology of refraction disorders at global, regional, and national levels. It examines trends from 1990 to 2021 from multiple dimensions, including overall and localized changes. Burden decomposition was performed to assess contributions from population size, age structure, and epidemiological changes. Cross-country inequalities were quantified using standard health equity methods recommended by the World Health Organization. Future changes in the burden of refraction disorders were also projected through 2050.

RESULTS

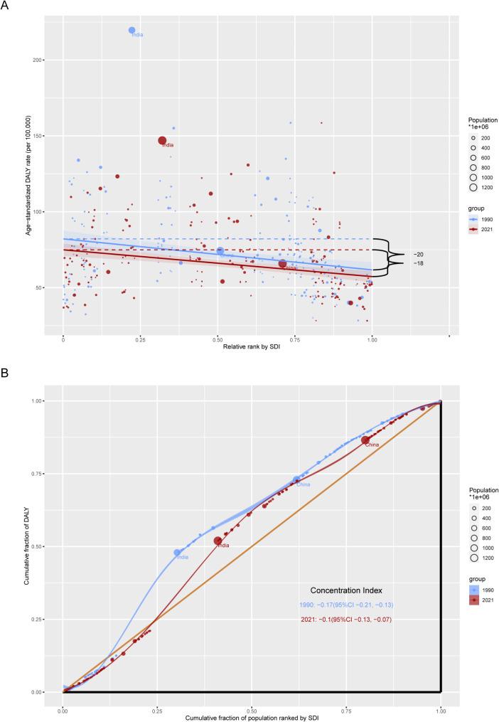
According to GBD 2021 estimates, there were 159,765,917 prevalent cases (95% UI: 142,526,915-178,698,348) and 6,618,600 DALYs (95% UI: 4,599,082-9,528,676) due to refraction disorders globally in 2021. From 1990 to 2021, prevalence and DALYs rates demonstrated a steady decline, although prevalence numbers, incidence numbers, and rates were consistently higher among females compared to males. Decomposition analysis showed that aging, population growth, and epidemiological changes contributed 36.25%, 76.92%, and - 13.18%, respectively, to changes in the age-standardized prevalence rate (ASR). The concentration index declined from - 0.17 (95% CI: -0.21 to - 0.13) in 1990 to - 0.10 (95% CI: -0.13 to - 0.07) in 2021, indicating a reduction in SDI-related inequalities. By 2050, the ASR for prevalence and DALYs is projected to decline to 1815.27 (95% UI: 534.15-3096.40) and 69.11 (95% UI: 21.45-116.77), respectively.

CONCLUSION

The global burden of refraction disorders decreased significantly from 1990 to 2021 and is expected to decline further by 2050. Females continue to experience a greater burden compared to males. Population growth emerged as the primary driver of changes in the ASR of prevalence and DALYs. While countries with low socio-demographic index (SDI) face a disproportionately high burden, SDI-related inequalities have gradually lessened over time.

摘要

背景

屈光不正障碍是全球视力损害的主要原因。本研究调查了1990年至2021年全球屈光不正障碍的负担及趋势,并预测至2050年。

方法

从《2021年全球疾病、伤害及风险因素负担研究》(GBD 2021)中获取屈光不正障碍的患病率和伤残调整生命年(DALY)数据及其95%不确定性区间(UI)。该研究对全球、区域和国家层面的屈光不正障碍流行病学进行了全面分析。它从多个维度审视了1990年至2021年的趋势,包括总体和局部变化。进行了负担分解以评估人口规模、年龄结构和流行病学变化的贡献。使用世界卫生组织推荐的标准健康公平方法对国家间不平等进行了量化。还预测了2050年屈光不正障碍负担的未来变化。

结果

根据GBD 2021估计,2021年全球因屈光不正障碍有159,765,917例现患病例(95% UI:142,526,915 - 178,698,348)和6,618,600个DALY(95% UI:4,599,082 - 9,528,676)。从1990年到2021年,患病率和DALY率呈稳步下降,尽管现患病例数、发病率和患病率女性始终高于男性。分解分析表明,老龄化、人口增长和流行病学变化对年龄标准化患病率(ASR)变化的贡献分别为36.25%、76.92%和 - 13.18%。集中指数从1990年的 - 0.17(95% CI: - 0.21至 - 0.13)降至2021年的 - 0.10(95% CI: - 0.13至 - 0.07),表明与社会人口指数(SDI)相关的不平等有所减少。到2050年,患病率和DALY的ASR预计将分别降至1815.27(95% UI:534.15 - 3096.40)和69.11(95% UI:21.45 - 116.77)。

结论

1990年至2021年全球屈光不正障碍负担显著下降,预计到2050年将进一步下降。与男性相比,女性负担仍然更重。人口增长是患病率和DALY的ASR变化的主要驱动因素。虽然社会人口指数低的国家面临着过高的负担,但与SDI相关的不平等随着时间的推移已逐渐减轻。

https://cdn.ncbi.nlm.nih.gov/pmc/blobs/a66d/11966897/630f56495ffd/12889_2025_22440_Fig1_HTML.jpg

文献AI研究员

20分钟写一篇综述,助力文献阅读效率提升50倍。

立即体验

用中文搜PubMed

大模型驱动的PubMed中文搜索引擎

马上搜索

文档翻译

学术文献翻译模型,支持多种主流文档格式。

立即体验