Suppr超能文献

吸入式芳香疗法治疗共病性失眠:一项系统评价与荟萃分析。

Inhalation aromatherapy for the treatment of comorbid insomnia: a systematic review and meta-analysis.

作者信息

Chen Hu-Bo, Zhang Yi-Dan, Qin Yang, Jiang Hong-Yu, Wang Li-Na, Gu Wei

机构信息

College of Basic Medicine, Naval Medical University, Shanghai, China.

Department of Traditional Chinese Medicine, Naval Medical University, Shanghai, China.

出版信息

Front Psychiatry. 2025 Mar 31;16:1485693. doi: 10.3389/fpsyt.2025.1485693. eCollection 2025.

Abstract

OBJECTIVE

Meta-analysis can pool multiple studies to explore a particular area in depth, therefore this method was used to explore the clinical efficacy of inhalation aromatherapy for the treatment of comorbid insomnia and provide an empirical evidence for clinical treatment.

METHODS

The PubMed, Web of Science, CNKI Database, Wanfang Database, and VIP Database were searched for randomized controlled trials on aromatherapy for the treatment of comorbid insomnia from inception to August 30, 2023. RevMan 5.3 was used for meta-analysis of the results.

RESULTS

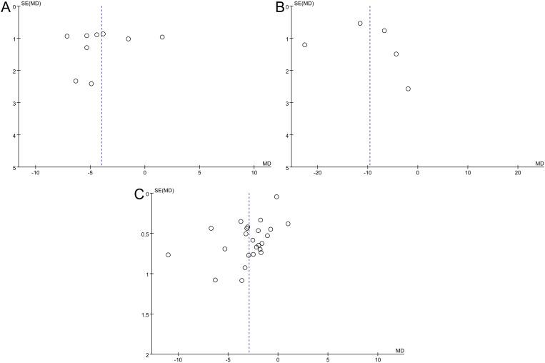
A total of 27 publications involving 2072 patients were included. The results of the meta-analysis showed that inhalation aromatherapy well relieved the symptoms of comorbid insomnia (MD -2.90, 95% CI: -3.85 to -1.95, p<0.00001) and the negative mental state of anxiety (MD -3.97, 95% CI: -5.88 to -2.06, p<0.0001) and depression (MD -9.58, 95% CI: -15.13 to -4.03, p=0.0007) in patients. Included studies were heterogeneous, and the factors influencing the heterogeneity were not identified. These studies commonly presented issues such as lack of blinding, and absence of independent testing for the purity or potency of herbs.

CONCLUSION

Inhalation aromatherapy can improve the sleep quality of patients with other disease states, with basically no adverse reactions and acceptable safety. Therefore, inhalation aromatherapy is expected to become an indispensable complementary therapy in clinical practice for most diseases. However, high-quality clinical trials are still needed to confirm these findings due to methodological weaknesses in blinding and independent testing for the purity and potency of herbs.

SYSTEMATIC REVIEW REGISTRATION

https://www.crd.york.ac.uk/prospero/, identifier CRD42023455278.

摘要

目的

荟萃分析能够整合多项研究以深入探究特定领域,因此本研究采用该方法探讨吸入式芳香疗法治疗共病性失眠的临床疗效,为临床治疗提供实证依据。

方法

检索PubMed、Web of Science、中国知网数据库、万方数据库和维普数据库,查找自数据库建库至2023年8月30日关于芳香疗法治疗共病性失眠的随机对照试验。采用RevMan 5.3对结果进行荟萃分析。

结果

共纳入27篇文献,涉及2072例患者。荟萃分析结果显示,吸入式芳香疗法能有效缓解共病性失眠症状(MD -2.90,95%CI:-3.85至-1.95,p<0.00001)以及患者的焦虑(MD -3.97,95%CI:-5.88至-2.06,p<0.0001)和抑郁(MD -9.58,95%CI:-15.13至-4.03,p=0.0007)等负面精神状态。纳入研究存在异质性,且未明确影响异质性的因素。这些研究普遍存在缺乏盲法、未对草药纯度或效力进行独立检测等问题。

结论

吸入式芳香疗法可改善其他疾病状态患者的睡眠质量,基本无不良反应,安全性可接受。因此,吸入式芳香疗法有望成为大多数疾病临床实践中不可或缺的辅助治疗方法。然而,由于在盲法以及草药纯度和效力的独立检测方面存在方法学缺陷,仍需要高质量的临床试验来证实这些发现。

系统评价注册

https://www.crd.york.ac.uk/prospero/,标识符CRD42023455278

https://cdn.ncbi.nlm.nih.gov/pmc/blobs/881f/11994695/268a5544a928/fpsyt-16-1485693-g001.jpg

文献AI研究员

20分钟写一篇综述,助力文献阅读效率提升50倍。

立即体验

用中文搜PubMed

大模型驱动的PubMed中文搜索引擎

马上搜索

文档翻译

学术文献翻译模型,支持多种主流文档格式。

立即体验