Suppr超能文献

多囊卵巢综合征负担的全球趋势演变:一项为期三十年(1990 - 2021年)的分析,并对青少年和青年至2036年进行预测。

Evolving global trends in PCOS burden: a three-decade analysis (1990-2021) with projections to 2036 among adolescents and young adults.

作者信息

Wang Jiameng, Wang Boyu, Li Chengjia, Meng Tianwei, Liu Changxing, Chen Jia, Guo Ying

机构信息

Graduate School of Heilongjiang University of Chinese Medicine, Harbin, China.

Department of Three Gynecology, First Affiliated Hospital of Heilongjiang University of Chinese Medicine, Harbin, China.

出版信息

Front Endocrinol (Lausanne). 2025 May 12;16:1569694. doi: 10.3389/fendo.2025.1569694. eCollection 2025.

Abstract

BACKGROUND

Polycystic Ovary Syndrome (PCOS) is a common endocrine disorder affecting adolescent and young adult females, yet global data on its burden and trends remains limited.

METHODS

We analyzed data from the Global Burden of Disease Study 2021 for females aged 10-24 years in 204 countries (1990-2021). Metrics included cases, age-standardized incidence (ASIR), prevalence (ASPR), disability-adjusted life years (ASDR), and average annual percentage changes (AAPCs). Future trends (2022-2036) and disease reduction gaps were assessed.

RESULTS

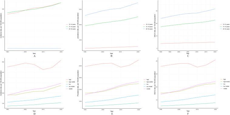
From 1990 to 2021, global PCOS cases increased by 56% (incidence), 59% (prevalence), and 58% (DALYs). ASIR rose from 49.45 to 63.26 per 100,000, with an AAPC of 0.8. Southeast Asia, East Asia, and Oceania had the fastest growth, while high-SDI regions bore the highest burden. Girls aged 10-14 showed the steepest age-specific increase. Nationally, the largest increases occurred in Equatorial Guinea, Maldives, and Myanmar, while Italy saw a decline. Forecasts through 2036 indicate continued increases in ASIR (+8.32%), ASPR (+10.87%), and ASDR (+10.39%). Frontier analysis highlighted unachieved reduction potential, especially in high-SDI countries.

CONCLUSIONS

PCOS burden among adolescents and young adults has significantly risen globally with disparities by region, SDI, and age, warranting urgent and equitable public health strategies.

摘要

背景

多囊卵巢综合征(PCOS)是一种常见的内分泌疾病,影响青少年和年轻成年女性,但关于其负担和趋势的全球数据仍然有限。

方法

我们分析了204个国家(1990 - 2021年)10 - 24岁女性的全球疾病负担研究2021年的数据。指标包括病例数、年龄标准化发病率(ASIR)、患病率(ASPR)、伤残调整生命年(ASDR)和年均百分比变化(AAPCs)。评估了未来趋势(2022 - 2036年)和疾病减少差距。

结果

从1990年到2021年,全球PCOS病例数增加了56%(发病率)、59%(患病率)和58%(伤残调整生命年)。ASIR从每10万人49.45例上升至63.26例,年均百分比变化为0.8。东南亚、东亚和大洋洲增长最快,而高社会人口指数(SDI)地区负担最重。10 - 14岁女孩的年龄特异性增长最为显著。在国家层面,赤道几内亚、马尔代夫和缅甸增长幅度最大,而意大利则有所下降。到2036年的预测表明ASIR(+8.32%)、ASPR(+10.87%)和ASDR(+10.39%)将持续上升。前沿分析突出了尚未实现的减少潜力,尤其是在高SDI国家。

结论

全球青少年和年轻成年人中的PCOS负担显著上升,存在地区、SDI和年龄差异,需要紧急和公平的公共卫生策略。

https://cdn.ncbi.nlm.nih.gov/pmc/blobs/e41c/12104063/a9edf2b6d8f1/fendo-16-1569694-g001.jpg

文献AI研究员

20分钟写一篇综述,助力文献阅读效率提升50倍。

立即体验

用中文搜PubMed

大模型驱动的PubMed中文搜索引擎

马上搜索

文档翻译

学术文献翻译模型,支持多种主流文档格式。

立即体验