Suppr超能文献

直肠癌与第二原发性泌尿系统肿瘤不同治疗方式的关联:监测、流行病学与最终结果(SEER)数据库的研究结果

Association of different treatment modalities for rectal cancer and second primary urinary system neoplasms, findings from SEER.

作者信息

Li Na, Wang Xuning, Duan Fuxiao, Wang Xinyu, Zhang Cheng

机构信息

Department of General Surgery, General Hospital of Northern Theater Command, No.83, Wenhua Road, Shenhe District, Shenyang, 110016, China.

Dalian Medical University Graduate School, No. 9, West Section, Lvshun South Road, Lvshunkou District, Dalian, 116044, Liaoning, China.

出版信息

Sci Rep. 2025 May 29;15(1):18782. doi: 10.1038/s41598-025-02676-7.

Abstract

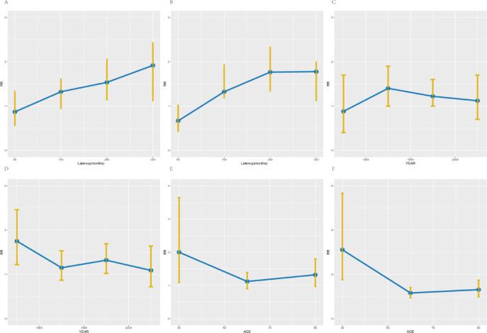
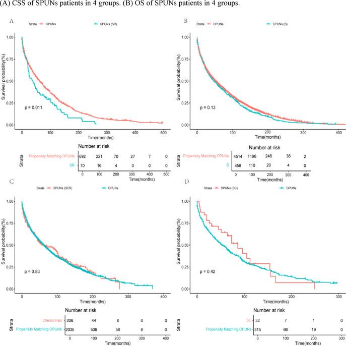
This study aimed to evaluate the risk of secondary primary urinary system neoplasms (SPUNs) in patients undergoing different treatment strategies during the perioperative period of rectal cancer (RC) and evalue survial prognostsis of SPUNs. The data were sourced from the US SEER database from 1975 to 2020. A total of 85,799 RC patients who underwent surgical treatment were included and divided into four groups: surgery alone (S), surgery plus chemoradiotherapy (SCR), surgery plus radiotherapy (SR), and surgery plus chemotherapy (SC). The results showed significant differences in the cumulative incidence of SPUNs among the four groups, with higher rates in patients receiving radiotherapy and chemotherapy. Both chemotherapy and radiotherapy increased the incidence of secondary primary bladder cancer (SPBC), and radiotherapy also elevated the incidence of secondary primary urethral cancer (SPUaC). However, there was no obvious association between chemoradiotherapy and the incidence of secondary primary kidney cancer (SPKC) or secondary primary ureteral cancer (SPUrC). Risk analysis indicated that the independent risk factors for SPBC were age, year of diagnosis, and postoperative radiotherapy, while race was a protective factor. For SPKC, the independent risk factors were age and year of diagnosis. No significant influencing factors were found for SPUrC, and postoperative radiotherapy was an independent risk factor for SPUaC. The relative risk (RR) of SPBC increased with the prolongation of the latency period after chemoradiotherapy. The RR value of radiotherapy was related to the year of diagnosis, reaching the highest from 1975 to 1984, and was the highest in the 18-50 age group after radiotherapy. Survival analysis revealed differences in cancer-specific survival (CSS) and overall survival (OS) among the four groups, with lower survival rates in patients receiving postoperative radiotherapy. After propensity score matching (PSM), only the overall survival rate of SPUNs patients in the postoperative radiotherapy group was lower than that of patients with original primary urological neoplasms (OPUNs). In conclusion, chemoradiotherapy during the perioperative period of RC is associated with the risk of SPUNs, and its benefits and risks need to be weighed in clinical decision-making.

摘要

本研究旨在评估直肠癌(RC)围手术期接受不同治疗策略的患者发生继发性原发性泌尿系统肿瘤(SPUNs)的风险,并评估SPUNs的生存预后。数据来源于1975年至2020年的美国监测、流行病学和最终结果(SEER)数据库。共纳入85799例接受手术治疗的RC患者,并将其分为四组:单纯手术(S)、手术加放化疗(SCR)、手术加放疗(SR)和手术加化疗(SC)。结果显示,四组患者SPUNs的累积发病率存在显著差异,接受放疗和化疗的患者发病率较高。化疗和放疗均增加了继发性原发性膀胱癌(SPBC)的发病率,放疗还提高了继发性原发性尿道癌(SPUaC)的发病率。然而,放化疗与继发性原发性肾癌(SPKC)或继发性原发性输尿管癌(SPUrC)的发病率之间没有明显关联。风险分析表明,SPBC的独立危险因素为年龄、诊断年份和术后放疗,而种族是一个保护因素。对于SPKC,独立危险因素为年龄和诊断年份。未发现SPUrC有显著影响因素,术后放疗是SPUaC的独立危险因素。SPBC的相对风险(RR)随着放化疗后潜伏期的延长而增加。放疗的RR值与诊断年份有关,在1975年至1984年达到最高,放疗后18至50岁年龄组最高。生存分析显示,四组患者的癌症特异性生存(CSS)和总生存(OS)存在差异,接受术后放疗的患者生存率较低。倾向评分匹配(PSM)后,仅术后放疗组SPUNs患者的总生存率低于原发性泌尿系统肿瘤(OPUNs)患者。总之,RC围手术期的放化疗与SPUNs的风险相关,其利弊需要在临床决策中权衡。

https://cdn.ncbi.nlm.nih.gov/pmc/blobs/48f5/12122819/4ace747eb633/41598_2025_2676_Fig1_HTML.jpg

文献AI研究员

20分钟写一篇综述,助力文献阅读效率提升50倍。

立即体验

用中文搜PubMed

大模型驱动的PubMed中文搜索引擎

马上搜索

文档翻译

学术文献翻译模型,支持多种主流文档格式。

立即体验