Suppr超能文献

接受用于治疗COVID-19的奈玛特韦-利托那韦的肾移植受者的他克莫司优化给药策略

Optimized tacrolimus dosing strategy in kidney transplant recipients receiving nirmatrelvir-ritonavir for COVID-19.

作者信息

Yan Han, Hu Shanbiao, Zhang Hedong, Zhou Yangang, Fu Rao, Xu Ping, Cai Hualin, Li Xi, Lan Gongbin

机构信息

Department of Pharmacy, The Second Xiangya Hospital, Central South University, Changsha, Hunan, P.R. China.

Institute of Clinical Pharmacy, Central South University, Changsha, China.

出版信息

PLoS One. 2025 May 30;20(5):e0309875. doi: 10.1371/journal.pone.0309875. eCollection 2025.

Abstract

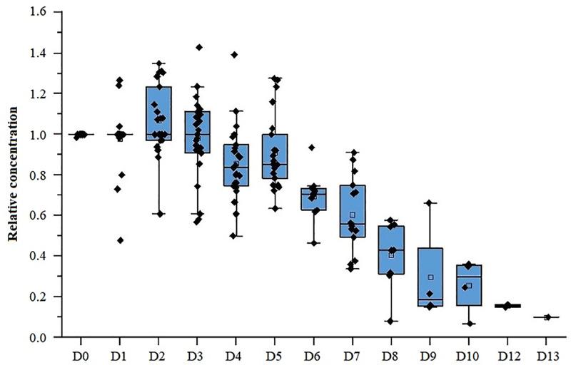
Kidney transplantation recipients (KTRs) represent a vulnerable population for COVID-19 infection and severe disease. Nirmatrelvir-ritonavir has demonstrated efficacy in treating COVID-19 among KTRs, and interacts with tacrolimus leading to a precipitous increase in tacrolimus blood levels when co-administered, which may potentially result in toxicity. To explore a safe strategy for the combination of nirmatrelvir-ritonavir and tacrolimus, we established a new administration strategy to restore tacrolimus after the discontinuation of nirmatrelvir-ritonavir and conducted a real-world retrospective observational cohort study to evaluate its clinical efficacy. In the experimental group, tacrolimus was initiated at 20-25% of the baseline dose 48 hours after the discontinuation of nirmatrelvir-ritonavir, with daily increments of 20-25% until the baseline dose was restored. The patients who did not follow the experimental protocol were included in the control group. Results showed that withholding tacrolimus 12 hours before starting nirmatrelvir-ritonavir maintained tacrolimus blood levels above 83% of the baseline throughout the nirmatrelvir-ritonavir treatment period. Compared with the control group, the experimental group achieved target trough concentrations of tacrolimus more quickly and maintained a higher proportion within the therapeutic range (p = 0.029), and had significantly lower rates of adverse events (p = 0.002, OR = 0.308, 95%CI:0.136-0.695). This study provides a safe and effective pharmacological strategy for KTRs infected with COVID-19, allowing the safe co-administration of nirmatrelvir-ritonavir and tacrolimus.

摘要

肾移植受者(KTRs)是感染新冠病毒(COVID-19)并发展为重症的易感人群。奈玛特韦-利托那韦已被证明对KTRs中的COVID-19具有治疗效果,但与他克莫司合用时会相互作用,导致他克莫司血药浓度急剧升高,这可能会引发毒性反应。为探索奈玛特韦-利托那韦与他克莫司联合使用的安全策略,我们制定了一种新的给药策略,即在停用奈玛特韦-利托那韦后恢复他克莫司的使用,并开展了一项真实世界回顾性观察队列研究以评估其临床疗效。在实验组中,在停用奈玛特韦-利托那韦48小时后,以基线剂量的20%-25%开始使用他克莫司,每日增加20%-25%,直至恢复基线剂量。未遵循实验方案的患者被纳入对照组。结果显示,在开始使用奈玛特韦-利托那韦前12小时停用他克莫司,可使他克莫司血药浓度在整个奈玛特韦-利托那韦治疗期间维持在基线水平的83%以上。与对照组相比,实验组更快达到他克莫司的目标谷浓度,且在治疗范围内维持的比例更高(p = 0.029),不良事件发生率显著更低(p = 0.002,OR = 0.308,95%CI:0.136 - 0.695)。本研究为感染COVID-19的KTRs提供了一种安全有效的药物治疗策略,实现了奈玛特韦-利托那韦与他克莫司的安全联用。

https://cdn.ncbi.nlm.nih.gov/pmc/blobs/0d4e/12124500/e1f0051a846c/pone.0309875.g001.jpg

文献AI研究员

20分钟写一篇综述,助力文献阅读效率提升50倍。

立即体验

用中文搜PubMed

大模型驱动的PubMed中文搜索引擎

马上搜索

文档翻译

学术文献翻译模型,支持多种主流文档格式。

立即体验