Suppr超能文献

后生元乳酸菌对口腔病原体的共聚集作用。

Coaggregation of oral pathogens by postbiotic lactobacilli.

作者信息

Golletz Patrick, Jensen Sissel Damsbo, Collignon Madeline, Hall Charles, Khamas Amanda Batoul, Møllebjerg Andreas, Schlafer Sebastian, Meyer Rikke Louise, Tykwinska Karolina

机构信息

Novozymes Berlin GmbH (Novonesis Group), Berlin, Germany.

Interdisciplinary Nanoscience Center, Aarhus University, Aarhus, Denmark.

出版信息

J Oral Microbiol. 2025 May 29;17(1):2508483. doi: 10.1080/20002297.2025.2508483. eCollection 2025.

Abstract

INTRODUCTION

Coaggregation may reduce the abundance of bacteria in physiological fluids, such as saliva, as aggregated bacteria are cleared more easily than planktonic cells. This study aimed to identify Lactobacillus strains that coaggregate with oral pathogens with the perspective of using this approach to improve oral health.

MATERIAL AND METHODS

Coaggregation of 719 postbiotic strains with target pathogens , , and intermedia was quantified by absorbance. Coaggregation efficacy of selected strains with clinical isolates and in the presence of other salivary bacteria was determined by flow cytometry. Brightfield and confocal microscopy were applied to characterize the size and structure of coaggregates. Pangenome analysis was used to identify genomic regions potentially involved in the coaggregation activity.

RESULTS

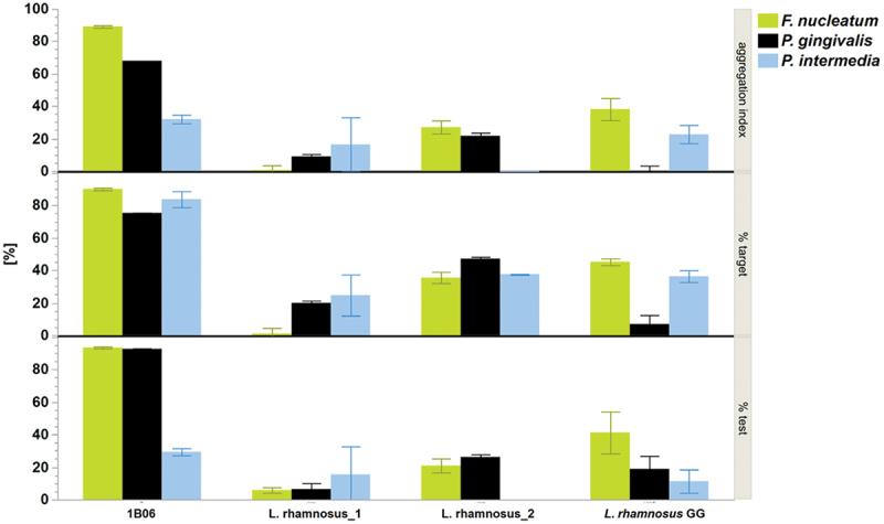
Two strains, Lacticaseibacillus rhamnosus 1B06 and Lacticaseibacillus paracasei 8A12, coaggregated efficiently with all three target pathogens and clinical isolates of the same species even in the presence of other salivary bacteria. The coaggregation capability of the selected Lactobacillus strains was unique and could not be reproduced with other genetically similar lactic acid bacteria of the same species.

CONCLUSION

Lactobacillus strains capable of coaggregating oral pathogens were identified as promising candidates for the development of new postbiotic ingredients for oral hygiene products.

摘要

引言

共聚集可能会减少生理流体(如唾液)中细菌的数量,因为聚集的细菌比浮游细胞更容易被清除。本研究旨在鉴定与口腔病原体共聚集的乳酸杆菌菌株,以期通过这种方法改善口腔健康。

材料与方法

通过吸光度对719株后生元菌株与目标病原体、中间普氏菌的共聚集进行定量分析。通过流式细胞术测定所选菌株与临床分离株以及在存在其他唾液细菌的情况下的共聚集效率。应用明场和共聚焦显微镜来表征共聚物的大小和结构。泛基因组分析用于鉴定可能参与共聚集活性的基因组区域。

结果

两株菌株,鼠李糖乳杆菌1B06和副干酪乳杆菌8A12,即使在存在其他唾液细菌的情况下,也能与所有三种目标病原体以及同物种的临床分离株高效共聚集。所选乳酸杆菌菌株的共聚集能力是独特的,同种其他基因相似的乳酸菌无法再现这种能力。

结论

能够与口腔病原体共聚集的乳酸杆菌菌株被鉴定为开发口腔卫生产品新型后生元成分的有前景的候选菌株。

https://cdn.ncbi.nlm.nih.gov/pmc/blobs/a135/12123943/23bec544dbee/ZJOM_A_2508483_F0001_OC.jpg

文献AI研究员

20分钟写一篇综述,助力文献阅读效率提升50倍。

立即体验

用中文搜PubMed

大模型驱动的PubMed中文搜索引擎

马上搜索

文档翻译

学术文献翻译模型,支持多种主流文档格式。

立即体验