Suppr超能文献

中国广州居民尿中邻苯二甲酸酯代谢物联合暴露与握力之间的关联

Association between combined urinary phthalate metabolites exposure and grip strength among residents in Guangzhou, China.

作者信息

Chen Jinbin, Shi Jie, Xu Guojun, Feng Wenru, Lv Jiayun, Shi Tongxing, Jiang Qinqin

机构信息

Guangzhou Key Laboratory for Clinical Rapid Diagnosis and Early Warning of Infectious Diseases, KingMed School of Laboratory Medicine, Guangzhou Medical University, Guangzhou, China.

Guangzhou Center for Disease Control and Prevention, Guangzhou, China.

出版信息

Front Public Health. 2025 May 30;13:1545872. doi: 10.3389/fpubh.2025.1545872. eCollection 2025.

Abstract

BACKGROUND

Exposure to environmental phthalate metabolites (mPAEs) has been suggested to potentially affect grip strength, either directly or indirectly. However, research on the impact of mPAEs mixtures on grip strength remains limited. This study aimed to investigate the independent and joint effects of co-exposure to multiple mPAEs on grip strength among residents of Guangzhou, China.

METHODS

Data were collected from 972 participants, and urinary concentrations of nine mPAEs (mMP, mEP, miBP, mnBP, mCHP, mEOHP, mEHHP, mBzP, and mEHP) were measured. To assess these relationships, we conducted generalized linear regression models, Bayesian Kernel Machine Regression (BKMR), and Weighted Quantile Sum (WQS) regression analyses.

RESULTS

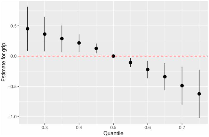
The Results showed that higher quartiles of mMP, miBP, mCHP, mEHHP, and mEHP were associated with decreased grip strength compared to the first quartile (Q1): mMP (Q4 vs. Q1:  = -1.44, 95% CI: -2.65 to -0.23,  = 0.019); miBP (Q2 vs. Q1:  = -1.78, 95% CI: -2.956 to -0.61,  = 0.003; Q3 vs. Q1:  = -1.39, 95% CI: -2.57 to -0.21,  = 0.002; Q4 vs. Q1:  = -1.23, 95% CI: -2.43 to 0.03,  = 0.045); mCHP (Q2 vs. Q1:  = -1.20, 95% CI: -2.38 to -0.03,  = 0.043); mEHHP (Q3 vs. Q1:  = -1.34, 95% CI: -2.53 to -0.16,  = 0.026); and mEHP (Q4 vs. Q1:  = -1.20, 95% CI: -2.39 to -0.01,  = 0.049). Restricted cubic spline (RCS) analysis indicated that grip strength gradually decreased as exposure concentrations of mMP (P-overall = 0.004) and miBP (P-overall = 0.037) increased, while the relationship between mEHP (P-overall = 0.022, P-nonlinear = 0.022) and grip strength exhibited an inverted U-shape. BKMR model analysis revealed a significant negative correlation between co-exposure to urinary mPAEs and grip strength, with mMP being the most significant contributor.

CONCLUSION

This study demonstrates that exposure to mPAEs mixtures is associated with decreased grip strength, particularly influenced by mMP. These findings underscore the necessity for further investigation into the underlying mechanisms and potential modifiers of this association.

摘要

背景

有研究表明,接触环境邻苯二甲酸酯代谢物(mPAEs)可能直接或间接地影响握力。然而,关于mPAEs混合物对握力影响的研究仍然有限。本研究旨在调查中国广州居民同时接触多种mPAEs对握力的独立和联合影响。

方法

收集了972名参与者的数据,并测量了九种mPAEs(mMP、mEP、miBP、mnBP、mCHP、mEOHP、mEHHP、mBzP和mEHP)的尿浓度。为了评估这些关系,我们进行了广义线性回归模型、贝叶斯核机器回归(BKMR)和加权分位数和(WQS)回归分析。

结果

结果显示,与第一四分位数(Q1)相比,mMP、miBP、mCHP、mEHHP和mEHP的较高四分位数与握力下降有关:mMP(Q4与Q1相比:β = -1.44,95%CI:-2.65至-0.23,P = 0.019);miBP(Q2与Q1相比:β = -1.78,95%CI:-2.956至-0.61,P = 0.003;Q3与Q1相比:β = -1.39,95%CI:-2.57至-0.21,P = 0.002;Q4与Q1相比:β = -1.23,95%CI:-2.43至0.03,P = 0.045);mCHP(Q2与Q1相比:β = -1.20,95%CI:-2.38至-0.03,P = 0.043);mEHHP(Q3与Q1相比:β = -1.34,95%CI:-2.53至-0.16,P = 0.026);以及mEHP(Q4与Q1相比:β = -1.20,95%CI:-2.39至-0.01,P = 0.049)。受限立方样条(RCS)分析表明,随着mMP(P总体 = 0.004)和miBP(P总体 = 0.037)暴露浓度的增加,握力逐渐下降,而mEHP与握力之间的关系(P总体 = 0.022,P非线性 = 0.022)呈倒U形。BKMR模型分析显示,尿中mPAEs的共同暴露与握力之间存在显著的负相关,其中mMP是最主要的贡献因素。

结论

本研究表明,接触mPAEs混合物与握力下降有关,尤其是受mMP的影响。这些发现强调了进一步研究这种关联的潜在机制和修饰因素的必要性。

https://cdn.ncbi.nlm.nih.gov/pmc/blobs/109e/12162582/c830773380a3/fpubh-13-1545872-g001.jpg

文献AI研究员

20分钟写一篇综述,助力文献阅读效率提升50倍。

立即体验

用中文搜PubMed

大模型驱动的PubMed中文搜索引擎

马上搜索

文档翻译

学术文献翻译模型,支持多种主流文档格式。

立即体验