Suppr超能文献

探索羧酰胺衍生物作为有前景的抗癌药物:设计、体外评估及作用机制洞察

Exploring Carboxamide Derivatives as Promising Anticancer Agents: Design, In Vitro Evaluation, and Mechanistic Insights.

作者信息

Al-Najdawi Manal M, Saleh Maysaa M, Sabbah Dima A, Hajjo Rima, Zalloum Hiba, Abudoleh Suha M, Abuarqoub Duaa A, Al-Hiari Yusuf M, Mohammad Mohammad Yasin, ALSalamat Husam, Mansour Hebah, Aljbour Nawzat D, Mestareehi Aktham H

机构信息

Department of Pharmaceutical Technology and Cosmetics, Faculty of Pharmacy Middle East University, Amman 11831, Jordan.

Department of Applied Pharmaceutical Sciences and Clinical Pharmacy, Faculty of Pharmacy, Isra University, Amman 11622, Jordan.

出版信息

Int J Mol Sci. 2025 Jun 19;26(12):5903. doi: 10.3390/ijms26125903.

Abstract

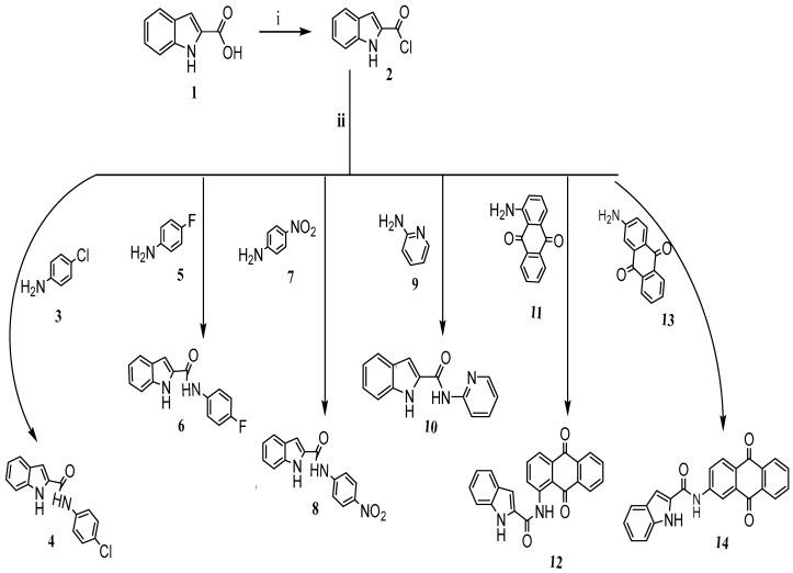
Carboxamide derivatives are a promising class of compounds in anticancer drug discovery, owing to their ability to interact with multiple oncogenic targets and their favorable pharmacological profiles. In this study, we report the design, synthesis, and biological evaluation of a series of -substituted 1-indole-2-carboxamides as potential anticancer agents. The synthesized compounds were assessed for antiproliferative activity using the MTT assay against MCF-7 (breast cancer), K-562 (leukemia), and HCT-116 (colon cancer) cell lines, with normal human dermal fibroblasts included as a non-cancerous control. Several compounds demonstrated notable cytotoxicity and selectivity. Compounds 12, 14, and 4 exhibited potent activity against K-562 cells, with IC values of 0.33 µM, 0.61 µM, and 0.61 µM, respectively. Compound 10 showed the most significant activity against HCT-116 cells (IC = 1.01 µM) with a high selectivity index (SI = 99.4). Moderate cytotoxicity was observed against MCF-7 cells. To elucidate the mechanism of action, molecular docking and induced-fit docking studies were conducted against key cancer-related targets, including topoisomerase-DNA (PDB ID: 5ZRF), PI3Kα (4L23), and EGFR (3W32), revealing favorable binding interactions. Additionally, principal component analysis of molecular descriptors indicated that the compounds possess promising drug-like and lead-like properties, particularly compound 10. Overall, this study highlights N-substituted indole-2-carboxamides as promising scaffolds for further optimization. The integration of synthetic chemistry, biological assays, and computational modeling provides a robust foundation for the continued development of these compounds as potential anticancer agents.

摘要

由于具有与多种致癌靶点相互作用的能力以及良好的药理学特性,甲酰胺衍生物是抗癌药物研发中一类很有前景的化合物。在本研究中,我们报告了一系列作为潜在抗癌剂的N-取代1-吲哚-2-甲酰胺的设计、合成及生物学评价。使用MTT法对合成的化合物针对MCF-7(乳腺癌)、K-562(白血病)和HCT-116(结肠癌)细胞系进行抗增殖活性评估,并将正常人皮肤成纤维细胞作为非癌对照。几种化合物表现出显著的细胞毒性和选择性。化合物12、14和4对K-562细胞具有强效活性,IC值分别为0.33 μM、0.61 μM和0.61 μM。化合物10对HCT-116细胞表现出最显著的活性(IC = 1.01 μM),且选择性指数较高(SI = 99.4)。对MCF-7细胞观察到中等程度的细胞毒性。为了阐明作用机制,针对关键的癌症相关靶点进行了分子对接和诱导契合对接研究,这些靶点包括拓扑异构酶-DNA(PDB编号:5ZRF)、PI3Kα(4L23)和表皮生长因子受体(EGFR,3W32),结果显示存在良好的结合相互作用。此外,分子描述符的主成分分析表明这些化合物具有有前景的类药和类先导物性质,尤其是化合物10。总体而言,本研究突出了N-取代吲哚-2-甲酰胺作为进一步优化的有前景的骨架。合成化学、生物学测定和计算建模的结合为将这些化合物持续开发为潜在抗癌剂提供了坚实基础。

https://cdn.ncbi.nlm.nih.gov/pmc/blobs/fa59/12193374/7064c1c447fd/ijms-26-05903-sch001.jpg

文献AI研究员

20分钟写一篇综述,助力文献阅读效率提升50倍。

立即体验

用中文搜PubMed

大模型驱动的PubMed中文搜索引擎

马上搜索

文档翻译

学术文献翻译模型,支持多种主流文档格式。

立即体验