Suppr超能文献

温室条件下十种土壤细菌菌株对玉米、番茄、黄瓜和辣椒的促生长作用

Growth-Promoting Effects of Ten Soil Bacterial Strains on Maize, Tomato, Cucumber, and Pepper Under Greenhouse Conditions.

作者信息

Anđelković Jovana, Mihajilov Krstev Tatjana, Dimkić Ivica, Unković Nikola, Stanković Dalibor, Joković Nataša

机构信息

Department of Biology and Ecology, Faculty of Sciences and Mathematics, University of Niš, Višegradska 33, 18000 Niš, Serbia.

Faculty of Biology, University of Belgrade, Studentski Trg 16, 11000 Belgrade, Serbia.

出版信息

Plants (Basel). 2025 Jun 18;14(12):1874. doi: 10.3390/plants14121874.

Abstract

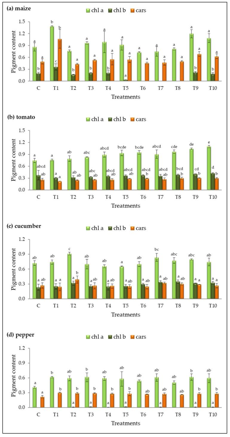
Beneficial interactions between plants and bacteria are crucial in agricultural practices, as bacteria can improve soil fertility, promote plant growth, and protect plants from pathogens. This study aimed to molecularly identify and characterize soil bacterial isolates and evaluate their effect on the growth of maize ( L.), tomato ( L.), cucumber ( L.), and pepper ( L.) under greenhouse conditions. Plant growth parameters, including plant height, root length, and fresh (FW) and dry (DW) weights, were measured. Additionally, pigment extraction and element content analysis using leaves were performed. Among the isolates, the most effective strain in the greenhouse experiment was SCF6, which significantly enhanced plant height and fresh weight across all tested plants, with the greatest influence observed in maize plant height (439.42 ± 6.42 mm), fresh weight (14.07 ± 0.87 g plant FW), and dry weight (1.43 ± 0.17 g plant DW) compared to the control (364.67 ± 10.33 mm, 9.20 ± 1.16 g plant FW, and 0.92 ± 0.15 g plant DW, respectively). Other strains also demonstrated notable results, with SCF4, SCF8, and SCF9 showing the highest plant growth-promoting effects on pepper, tomato, and cucumber, respectively. SCF9 demonstrated strong antifungal activity against , with a percentage of mycelial growth inhibition (PGI) of 72.62 ± 2.06%, while SCF1 exhibited effects against (PGI = 69.57 ± 4.35%) and sp. (PGI = 63.11 ± 1.12%). The development and application of beneficial bacterial inoculants or their formulated products can contribute to environmentally friendly farming practices and global food security.

摘要

植物与细菌之间的有益相互作用在农业实践中至关重要,因为细菌可以提高土壤肥力、促进植物生长并保护植物免受病原体侵害。本研究旨在从分子水平上鉴定和表征土壤细菌分离株,并评估它们在温室条件下对玉米(L.)、番茄(L.)、黄瓜(L.)和辣椒(L.)生长的影响。测量了植物生长参数,包括株高、根长以及鲜重(FW)和干重(DW)。此外,还对叶片进行了色素提取和元素含量分析。在这些分离株中,温室实验中最有效的菌株是SCF6,它显著提高了所有受试植物的株高和鲜重,对玉米株高(439.42±6.42毫米)、鲜重(14.07±0.87克/株FW)和干重(1.43±0.17克/株DW)的影响最大,相比之下,对照组分别为(364.67±10.33毫米、9.20±1.16克/株FW和0.92±0.15克/株DW)。其他菌株也显示出显著结果,SCF4、SCF8和SCF9分别对辣椒、番茄和黄瓜表现出最高的促生长效果。SCF9对表现出较强的抗真菌活性,菌丝生长抑制率(PGI)为72.62±2.06%,而SCF1对(PGI = 69.57±4.35%)和sp.(PGI = 63.11±1.12%)有抑制作用。有益细菌接种剂或其配方产品的开发和应用有助于实现环境友好型农业实践和全球粮食安全。

https://cdn.ncbi.nlm.nih.gov/pmc/blobs/58f0/12196750/0bfdd9442053/plants-14-01874-g001.jpg

文献AI研究员

20分钟写一篇综述,助力文献阅读效率提升50倍。

立即体验

用中文搜PubMed

大模型驱动的PubMed中文搜索引擎

马上搜索

文档翻译

学术文献翻译模型,支持多种主流文档格式。

立即体验