Suppr超能文献

非小细胞肺癌患者全身免疫炎症指数与免疫检查点抑制剂肺炎的预后分析及相关性

Prognostic analysis and association of the systemic immune-inflammatory index with immune checkpoint inhibitor pneumonitis in patients with non-small cell lung cancer.

作者信息

Cai Mengyao, Sun Jiangqian, Wu Jingyi, Liu Ya, Huang Yuanyi

机构信息

Department of Radiology, Jingzhou Hospital Affiliated to Yangtze University, Jingzhou, China.

出版信息

Front Oncol. 2025 Jun 12;15:1596223. doi: 10.3389/fonc.2025.1596223. eCollection 2025.

Abstract

OBJECTIVE

The Systemic Immune-Inflammatory Index (SII) is a comprehensive indicator reflecting immune response and disease burden. However, its significance in immune checkpoint inhibitor-related pneumonitis (CIP) in cases of non-small cell lung cancer (NSCLC) remains poorly explored. This study evaluated the association between SII and the incidence, severity, and prognostic effects of CIP in NSCLC patients.

METHODS

A retrospective analysis involved 215 NSCLC patients receiving immune checkpoint inhibitor (ICI) therapy, of whom 35 developed CIP while 180 did not. Baseline clinical characteristics and dynamic changes in peripheral blood biochemical markers were analyzed. Risk factors associated with the onset and severity of CIP were assessed, along with the diagnostic application of the SII for CIP.

RESULTS

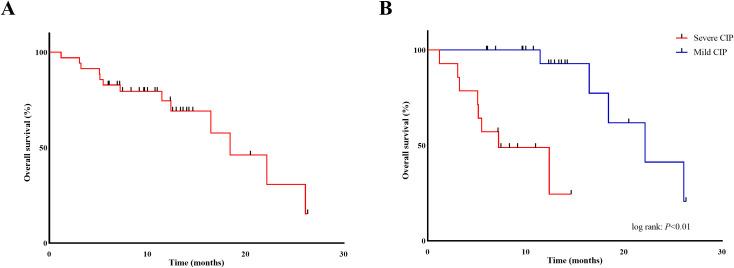
Multivariate logistic regression identified smoking history (odds ratio [OR]: 3.23; = 0.01), pre-existing lung disease (OR: 3.36; < 0.01), squamous cell carcinoma (OR: 2.39; = 0.03), and combined ICI therapy (OR: 4.77; < 0.01) as independent risk factors for CIP onset. SII was also identified as independently predictive of severe CIP (OR: 6.35; = 0.04). Receiver operating characteristic (ROC) curves demonstrated that SII had moderate accuracy for diagnosing CIP (area under the curve [AUC]: 0.63) and high diagnostic accuracy for severe CIP (AUC: 0.81). Multivariate Cox regression also showed that severe CIP was substantially related to reduced overall survival (OS) relative to mild CIP (hazard ratio [HR]: 0.06, 95% confidence interval [CI]: 0.01-0.52; = 0.01).

CONCLUSION

The results suggested the potential of SII as an indicator for diagnosing the presence and severity of CIP. Elevated SII levels were independently associated with the development of severe CIP, which, in turn, emerged as a key prognostic factor influencing overall survival in affected patients.

摘要

目的

全身免疫炎症指数(SII)是反映免疫反应和疾病负担的综合指标。然而,其在非小细胞肺癌(NSCLC)患者免疫检查点抑制剂相关性肺炎(CIP)中的意义仍未得到充分探索。本研究评估了SII与NSCLC患者CIP的发生率、严重程度及预后影响之间的关联。

方法

一项回顾性分析纳入了215例接受免疫检查点抑制剂(ICI)治疗的NSCLC患者,其中35例发生CIP,180例未发生。分析了基线临床特征及外周血生化指标的动态变化。评估了与CIP发生和严重程度相关的危险因素,以及SII对CIP的诊断应用。

结果

多因素逻辑回归分析确定吸烟史(比值比[OR]:3.23;P = 0.01)、既往肺部疾病(OR:3.36;P < 0.01)、鳞状细胞癌(OR:2.39;P = 0.03)和联合ICI治疗(OR:4.77;P < 0.01)为CIP发生的独立危险因素。SII也被确定为严重CIP的独立预测因素(OR:6.35;P = 0.04)。受试者工作特征(ROC)曲线显示,SII对CIP诊断具有中等准确性(曲线下面积[AUC]:0.63),对严重CIP具有较高诊断准确性(AUC:0.81)。多因素Cox回归分析还显示,与轻度CIP相比,严重CIP与总生存期(OS)显著降低相关(风险比[HR]:0.06,95%置信区间[CI]:0.01 - 0.52;P = 0.01)。

结论

结果提示SII作为诊断CIP存在及严重程度指标的潜力。SII水平升高与严重CIP的发生独立相关,而严重CIP反过来又成为影响受影响患者总生存期的关键预后因素。

https://cdn.ncbi.nlm.nih.gov/pmc/blobs/f501/12197933/da64026496eb/fonc-15-1596223-g001.jpg

文献AI研究员

20分钟写一篇综述,助力文献阅读效率提升50倍。

立即体验

用中文搜PubMed

大模型驱动的PubMed中文搜索引擎

马上搜索

文档翻译

学术文献翻译模型,支持多种主流文档格式。

立即体验