Suppr超能文献

重金属暴露与慢性咳嗽之间的关联:炎症的中介作用。

Association between heavy metal exposure and chronic cough: the mediating roles of inflammation.

作者信息

Wen Jun, Zhuang Rongjuan, Zhang Qin, Wang Changfen, Chi Jing

机构信息

Department of Respiratory and Critical Care Medicine, The First Affiliated Hospital of Chongqing Medical University, Chongqing Medical University, Chongqing, China.

Department of Cardiology, Xi Chang People's Hospital, Xi Chang, Sichuan Province, China.

出版信息

Ann Med. 2025 Dec;57(1):2524089. doi: 10.1080/07853890.2025.2524089. Epub 2025 Jun 27.

Abstract

BACKGROUND

Right now, epidemiological research examining the connection between blood heavy metal exposure and chronic coughing is still deficient. Therefore, the survey was aimed at the effects of multiple heavy metals on chronic cough.

METHOD

In this investigation, 2647 individuals from NHANES were included. This study applied multiple statistical models to systematically explore the associations between single and mixed blood metal with the prevalence of chronic cough, including logistic regression, weighted quantile sum (WQS) regression, bayesian kernel machine regression (BKMR), and the Shapley Additive Explanations (SHAP) model. Finally, this research conducted mediation analyses to investigate the mediated effects of inflammation on the association between metal and chronic cough.

RESULT

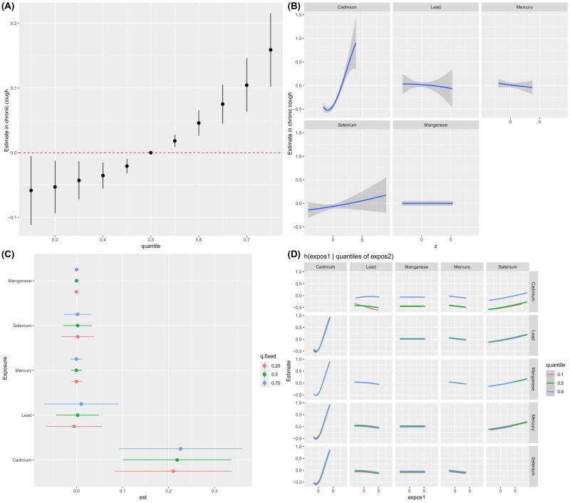
In the logistic regression model of single exposure, blood cadmium was positively associated with the prevalence of chronic cough (OR: 3.17; 95% CI: 2.08-4.83). Consistent findings from the WQS, BKMR, and SHAP models revealed that cumulative exposure to multiple blood metals was positively linked to chronic cough, with cadmium emerging as the predominant contributor among the five examined metals. Mediation analyses indicated that WBC and neutrophils, with a proportion of 2.74% and 5.06%, respectively, mediated the link of cadmium in blood with chronic cough.

CONCLUSION

Exposure to heavy metal mixtures was linked to an increase in the prevalence of chronic cough. And blood cadmium may primarily drive this association, with activated inflammation partially mediating it. Our findings offer novel insights into the impact of blood cadmium to chronic cough.

摘要

背景

目前,关于血液重金属暴露与慢性咳嗽之间联系的流行病学研究仍然不足。因此,本调查旨在研究多种重金属对慢性咳嗽的影响。

方法

在本次调查中,纳入了来自美国国家健康与营养检查调查(NHANES)的2647名个体。本研究应用多种统计模型系统地探讨单一和混合血液金属与慢性咳嗽患病率之间的关联,包括逻辑回归、加权分位数和(WQS)回归、贝叶斯核机器回归(BKMR)以及夏普利值附加解释(SHAP)模型。最后,本研究进行中介分析,以研究炎症在金属与慢性咳嗽关联中的中介作用。

结果

在单一暴露的逻辑回归模型中,血镉与慢性咳嗽患病率呈正相关(比值比:3.17;95%置信区间:2.08 - 4.83)。WQS、BKMR和SHAP模型的一致结果显示,多种血液金属的累积暴露与慢性咳嗽呈正相关,镉是所检测的五种金属中主要的促成因素。中介分析表明,白细胞和中性粒细胞分别以2.74%和5.06%的比例介导了血镉与慢性咳嗽之间的联系。

结论

重金属混合物暴露与慢性咳嗽患病率增加有关。血镉可能是这种关联的主要驱动因素,炎症激活部分介导了这种关联。我们的研究结果为血镉对慢性咳嗽的影响提供了新的见解。

https://cdn.ncbi.nlm.nih.gov/pmc/blobs/6aeb/12207769/192efea64ffe/IANN_A_2524089_F0001_C.jpg

文献AI研究员

20分钟写一篇综述,助力文献阅读效率提升50倍。

立即体验

用中文搜PubMed

大模型驱动的PubMed中文搜索引擎

马上搜索

文档翻译

学术文献翻译模型,支持多种主流文档格式。

立即体验