Suppr超能文献

在中国奥密克戎毒株流行期间,住院的新冠肺炎患者中,西米诺特韦-利托那韦与奈玛特韦-利托那韦的真实世界有效性:一项回顾性队列研究

Real-world effectiveness of simnotrelvir-ritonavir versus nirmatrelvir-ritonavir in hospitalized patients with COVID-19 during the omicron wave in China: a retrospective cohort study.

作者信息

Li Chuntao, Cheng Qingzhao, Chen Ying, Liu Ling, Liu Dajin, Zhang Jiaqiang, Liao Zehua, Xiang Yaling, Zhou Jinbiao, Liao Keke, Su Yandi, Zhang Xuemei, Li Jiashu, Zhao Yuping, Yang Yue, Zhang Jianqing, Yang Long

机构信息

Department of Respiratory and Critical Care Medicine, First Affiliated Hospital of Kunming Medical University, Kunming, China.

Department of Epidemiology and Health Statistics, School of Public Health, Kunming Medical University, Kunming, China.

出版信息

BMC Infect Dis. 2025 Jul 1;25(1):840. doi: 10.1186/s12879-025-11195-9.

Abstract

OBJECTIVE

This study aims to assess the comparative clinical effectiveness of the 3-chymotrypsin-like protease (3CLpro) inhibitors simnotrelvir-ritonavir and nirmatrelvir-ritonavir in hospitalized patients with COVID-19 during the omicron wave in China.

METHODS

The retrospective analysis of data from adult hospitalized patients with COVID-19 treated with either simnotrelvir-ritonavir or nirmatrelvir-ritonavir as antiviral treatment strategies will be conducted to determine any differences in clinical outcomes between the two drugs.

RESULTS

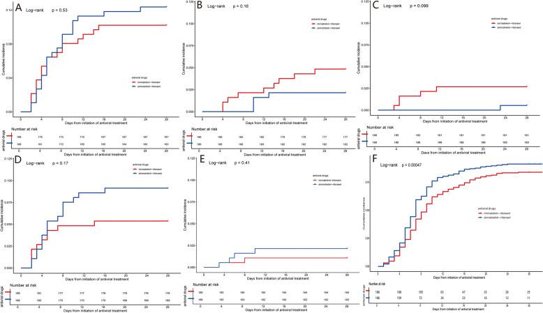
This study involved a total of 585 participants, with 264 in the simnotrelvir group and 321 in the nirmatrelvir group. Following propensity score matching, there were 186 individuals in each group. There was no statistically significant difference in the cumulative risk of the composite disease progression, all-cause death, and respiratory support at 28 days following initiation of drug exposure between the two groups (p > 0.05). However, the simnotrelvir group exhibited more cases of clinical improvement compared to the nirmatrelvir group (33.602 events per 1000 person-days vs. 30.913 events per 1000 person-days), with a better cumulative incidence in the simnotrelvir group (p < 0.05). The multivariate Cox regression analysis revealed that non-severe COVID-19 (HR 0.630, 95% CI 0.496-0.801; p < 0.001), lower C-reactive protein (CRP) levels (HR 0.993, 95% CI 0.990-0.997; p < 0.001), and treatment with simnotrelvir-ritonavir (HR 1.395, 95% CI 1.118-1.741; p = 0.003) were independently associated with a higher likelihood of clinical improvement.

CONCLUSION

This study illustrated that both simnotrelvir-ritonavir and nirmatrelvir-ritonavir exhibited similar effectiveness in reducing the incidence of composite disease progression, all-cause death, and the need for respiratory support amidst the real-world outbreak of the omicron VOC in China. Furthermore, simnotrelvir-ritonavir was found to be more favorable in enhancing the rate of clinical improvement in COVID-19 hospitalized patients, suggesting its potential clinical effectiveness against the disease.

摘要

目的

本研究旨在评估在中国奥密克戎毒株流行期间,3-糜蛋白酶样蛋白酶(3CLpro)抑制剂西米普明-利托那韦和奈玛特韦-利托那韦对住院COVID-19患者的相对临床疗效。

方法

将对接受西米普明-利托那韦或奈玛特韦-利托那韦作为抗病毒治疗策略的成年住院COVID-19患者的数据进行回顾性分析,以确定两种药物在临床结局上的差异。

结果

本研究共纳入585名参与者,西米普明组264人,奈玛特韦组321人。倾向评分匹配后,每组各有186人。两组在开始药物暴露后28天的复合疾病进展、全因死亡和呼吸支持的累积风险上无统计学显著差异(p>0.05)。然而,西米普明组的临床改善病例数多于奈玛特韦组(每1000人日33.602例事件 vs. 每1000人日30.913例事件),西米普明组的累积发病率更好(p<0.05)。多因素Cox回归分析显示,非重症COVID-19(HR 0.630,95%CI 0.496-0.801;p<0.001)、较低的C反应蛋白(CRP)水平(HR 0.993,95%CI 0.990-0.997;p<0.001)以及接受西米普明-利托那韦治疗(HR 1.395,95%CI 1.118-1.741;p=0.003)与临床改善的较高可能性独立相关。

结论

本研究表明,在中国奥密克戎变异株实际爆发期间,西米普明-利托那韦和奈玛特韦-利托那韦在降低复合疾病进展、全因死亡的发生率以及呼吸支持需求方面表现出相似的疗效。此外,发现西米普明-利托那韦在提高COVID-19住院患者的临床改善率方面更具优势,表明其对该疾病具有潜在的临床疗效。

https://cdn.ncbi.nlm.nih.gov/pmc/blobs/dba5/12211424/44fe2126a668/12879_2025_11195_Fig1_HTML.jpg

文献AI研究员

20分钟写一篇综述,助力文献阅读效率提升50倍。

立即体验

用中文搜PubMed

大模型驱动的PubMed中文搜索引擎

马上搜索

文档翻译

学术文献翻译模型,支持多种主流文档格式。

立即体验