Suppr超能文献

基于第二信使环二鸟苷酸(c-di-GMP)的代谢工程策略用于发现来自sp. HDN154049的新型芳香族聚酮化合物

Metabolic Engineering Strategies Based on Secondary Messengers c‑di-GMP for the Discovery of Novel Aromatic Polyketides in sp. HDN154049.

作者信息

Zhang Xiaoting, Zhang Falei, Zhu Tianjiao, Che Qian, Li Dehai, Zhang Guojian

机构信息

School of Medicine and Pharmacy, Key Laboratory of Marine Drugs Ministry of Education, Ocean University of China, Qingdao 266003, P. R. China.

Laboratory for Marine Drugs and Bioproducts, Qingdao Marine Science and Technology Center, Qingdao 266237, P. R. China.

出版信息

ACS Omega. 2025 Jun 19;10(25):27031-27038. doi: 10.1021/acsomega.5c02178. eCollection 2025 Jul 1.

Abstract

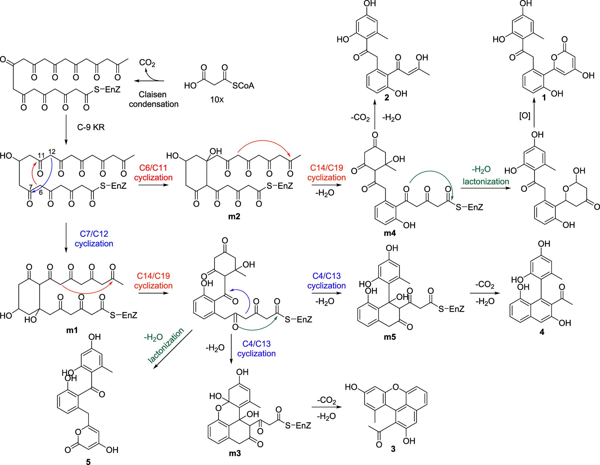
Four unreported aromatic polyketides CA049 A-D (-) were discovered in sp. HDN154049 through CdgB overexpression, an enzyme involved in c-di-GMP biosynthesis. Among them, compound contains a novel tricyclic aromatic scaffold appended with an α-pyranone ring, while compound represents the first example of a benzo-[]-xanthene skeleton derived from microbiological sources, and it displayed cytotoxic activity against the L-02 cancer cell line (IC = 6.71 μM). This work shows that adjusting the expression level of c-di-GMP could be an efficient method to increase the secondary metabolic production capacity of actinomycete strains.

摘要

通过过表达参与环二鸟苷酸(c-di-GMP)生物合成的酶CdgB,在链霉菌属HDN154049中发现了四种未报道的芳香聚酮化合物CA049 A-D(-)。其中,化合物含有一个附着有α-吡喃酮环的新型三环芳香骨架,而化合物是源自微生物来源的苯并[]-呫吨骨架的首个实例,并且它对L-02癌细胞系表现出细胞毒性活性(IC = 6.71 μM)。这项工作表明,调节c-di-GMP的表达水平可能是提高放线菌菌株次级代谢产物生产能力的有效方法。

https://cdn.ncbi.nlm.nih.gov/pmc/blobs/e5a7/12223900/07574a7db3c8/ao5c02178_0001.jpg

文献AI研究员

20分钟写一篇综述,助力文献阅读效率提升50倍。

立即体验

用中文搜PubMed

大模型驱动的PubMed中文搜索引擎

马上搜索

文档翻译

学术文献翻译模型,支持多种主流文档格式。

立即体验