Suppr超能文献

本妥昔单抗联合类CHP方案用于外周T细胞淋巴瘤患者一线治疗的真实世界单中心研究。

Brentuximab vedotin plus CHP-like regimen for the first-line treatment of PTCL patients: a real-world single center study.

作者信息

Guan Fangshu, Zhang Yi, Guo Xing, Cheng Fei, Zhang Enfan, He Jingsong, Cai Zhen, Zhao Yi

机构信息

Bone Transplantation Center, The First Affiliated Hospital, Zhejiang University School of Medicine, Hangzhou, Zhejiang, China.

Department of Hematology, The First Affiliated Hospital, Zhejiang University School of Medicine, Hangzhou, Zhejiang, China.

出版信息

Ann Hematol. 2025 Jul;104(7):3745-3751. doi: 10.1007/s00277-025-06507-7. Epub 2025 Jul 22.

Abstract

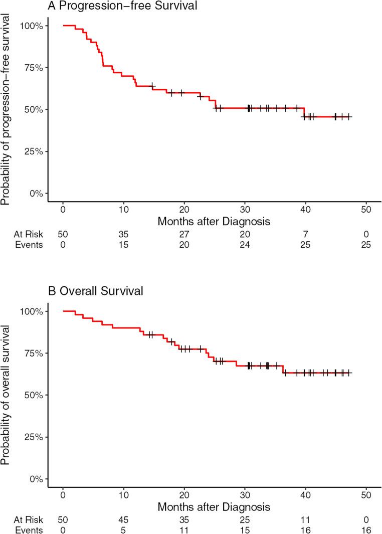
To evaluate the efficacy and safety of brentuximab vedotin (BV) combined with a CHP-like regimen (cyclophosphamide, doxorubicin, and prednisone) as first-line treatment for newly diagnosed peripheral T-cell lymphoma (PTCL). We retrospectively analyzed the clinical data of patients with PTCL who received BV in combination with a CHP-like regimen as first-line therapy between January 2021 and October 2023. Fifty patients were included in this study, with a median age of 57 years (rang, 22-86 years). The median number of BV cycles administered was six (range, 2-8 cycles). After a median follow-up of 35.2 months (95% confidence interval [CI], 30.9-39.5), the overall response rate (ORR) was 80%, with 44% of the patients achieving a complete response (CR). In patients with the ALK-positive anaplastic large cell lymphoma (ALCL) subtype, the CR rate was 70.6%. The median progression-free survival (PFS) was 39.7 months (95% CI, 14.7-NA), whereas the median overall survival (OS) was not reached (the 1-year OS rate, 90%). Multivariate analysis indicated that bone marrow infiltration at diagnosis was the only factor that was significantly associated with poor OS. Neutropenia (81.3%) was the most common adverse event, and peripheral neuropathy was observed in 16.7% of patients. This real-world study suggests that BV combined with a CHP-like regimen is an effective and safe first-line treatment for patients with newly diagnosed PTCL.

摘要

评估维布妥昔单抗(BV)联合类似CHP方案(环磷酰胺、多柔比星和泼尼松)作为新诊断外周T细胞淋巴瘤(PTCL)一线治疗的疗效和安全性。我们回顾性分析了2021年1月至2023年10月期间接受BV联合类似CHP方案作为一线治疗的PTCL患者的临床资料。本研究纳入50例患者,中位年龄57岁(范围22 - 86岁)。BV给药周期的中位数为6个(范围2 - 8个周期)。中位随访35.2个月(95%置信区间[CI],30.9 - 39.5)后,总缓解率(ORR)为80%,44%的患者达到完全缓解(CR)。在ALK阳性间变性大细胞淋巴瘤(ALCL)亚型患者中,CR率为70.6%。中位无进展生存期(PFS)为39.7个月(95% CI,14.7 - NA),而中位总生存期(OS)未达到(1年OS率为90%)。多因素分析表明,诊断时骨髓浸润是与OS不良显著相关的唯一因素。中性粒细胞减少(81.3%)是最常见的不良事件,16.7%的患者观察到周围神经病变。这项真实世界研究表明,BV联合类似CHP方案是新诊断PTCL患者有效且安全的一线治疗方案。

https://cdn.ncbi.nlm.nih.gov/pmc/blobs/5c6a/12334440/246a10f1bfb6/277_2025_6507_Fig1_HTML.jpg

文献AI研究员

20分钟写一篇综述,助力文献阅读效率提升50倍。

立即体验

用中文搜PubMed

大模型驱动的PubMed中文搜索引擎

马上搜索

文档翻译

学术文献翻译模型,支持多种主流文档格式。

立即体验