Suppr超能文献

一种基于机器学习的方法预测主观认知能力下降的中国老年人的抑郁症:一项纵向研究。

A machine learning-based approach to predict depression in Chinese older adults with subjective cognitive decline: a longitudinal study.

作者信息

Xu Jing, Zhang Wenjin, Liu Wenli

机构信息

School of Nursing, Shandong Xiandai University, Jinan, China.

Department of Urology, Shanxi Bethune Hospital, Third Hospital of Shanxi Medical University, Shanxi Academy of Medical Sciences, Tongji Shanxi Hospital, Taiyuan, Shanxi Province, China.

出版信息

Sci Rep. 2025 Jul 24;15(1):26985. doi: 10.1038/s41598-025-10645-3.

Abstract

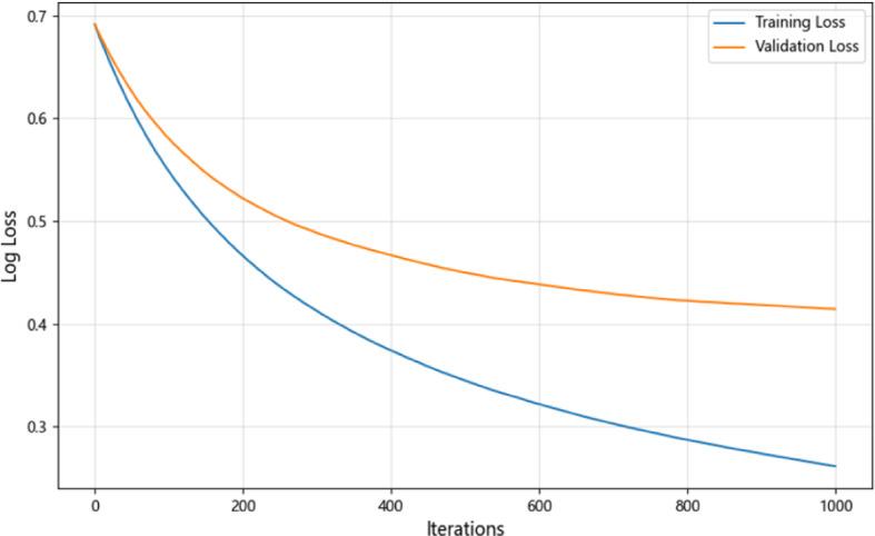
This study aims to identify depressive risks in elderly individuals with subjective cognitive decline (SCD) and develop a predictive model using machine learning algorithms to enable timely interventions.Data from the 2015 and 2018 waves of the China Health and Retirement Longitudinal Study (CHARLS) were used, including 1,921 elderly individuals. Depression was assessed with the CESD-10 scale. Three machine learning models-Gradient Boosting, Random Forest, and Boosted XGBoost-were used to predict depression risk over three years, incorporating 10 demographic, 5 health, 13 chronic disease, 3 lifestyle, and 2 physical function factors. Lasso feature selection identified 10 key variables for model training. Model performance was evaluated using ROC curves, AUC, sensitivity, specificity, accuracy, calibration, and decision curve analysis. Among all evaluated models, Boosted XGBoost demonstrated the highest predictive accuracy in the test set (AUC = 0.893), outperforming both Gradient Boosting (AUC = 0.887) and Random Forest (AUC = 0.861). However, Random Forest (RF) achieved superior sensitivity. Consequently, we performed feature importance analysis using both Boosted XGBoost and RF models. The results identified five significant predictors of depression in older adults with subjective cognitive decline (SCD): educational attainment, digestive health status, arthritis diagnosis, sleep duration, and residential location.The machine learning model developed in our study demonstrates strong predictive performance for depression risk among older adults with subjective cognitive decline (SCD), enabling early identification of high-risk individuals. These findings provide a scientific foundation for understanding depression progression mechanisms and developing personalized intervention strategies.

摘要

本研究旨在识别主观认知下降(SCD)老年个体的抑郁风险,并使用机器学习算法开发预测模型,以便及时进行干预。使用了中国健康与养老追踪调查(CHARLS)2015年和2018年两轮的数据,包括1921名老年人。用CESD - 10量表评估抑郁情况。使用三种机器学习模型——梯度提升、随机森林和增强型XGBoost——预测三年后的抑郁风险,纳入了10个人口统计学因素、5个健康因素、13种慢性病因素、3种生活方式因素和2种身体功能因素。套索特征选择确定了10个用于模型训练 的关键变量。使用ROC曲线、AUC、敏感性、特异性、准确性、校准和决策曲线分析评估模型性能。在所有评估模型中,增强型XGBoost在测试集中表现出最高的预测准确性(AUC = 0.893),优于梯度提升(AUC = 0.887)和随机森林(AUC = 0.861)。然而,随机森林(RF)具有更高的敏感性。因此,我们使用增强型XGBoost和RF模型进行了特征重要性分析。结果确定了主观认知下降(SCD)老年抑郁的五个重要预测因素:教育程度、消化健康状况、关节炎诊断、睡眠时间和居住地点。我们研究中开发的机器学习模型对主观认知下降(SCD)老年人的抑郁风险具有很强的预测性能,能够早期识别高危个体。这些发现为理解抑郁进展机制和制定个性化干预策略提供了科学依据。

https://cdn.ncbi.nlm.nih.gov/pmc/blobs/bd4a/12289894/ca97abf531df/41598_2025_10645_Fig1_HTML.jpg

文献AI研究员

20分钟写一篇综述,助力文献阅读效率提升50倍。

立即体验

用中文搜PubMed

大模型驱动的PubMed中文搜索引擎

马上搜索

文档翻译

学术文献翻译模型,支持多种主流文档格式。

立即体验