Suppr超能文献

比利时犬猫临床病例中耐甲氧西林分离株的抗菌药物耐药性特征分析

Antimicrobial Resistance Characterization of Methicillin-Resistant and Isolates from Clinical Cases in Dogs and Cats in Belgium.

作者信息

Dewulf Suzanne, Boyen Filip, Paepe Dominique, Clercx Cécile, Tilman Noah, Dewulf Jeroen, Boland Cécile

机构信息

Veterinary Epidemiology Unit, Ghent University, 9820 Merelbeke, Belgium.

Veterinary Bacteriology Service, Sciensano, 1050 Brussels, Belgium.

出版信息

Antibiotics (Basel). 2025 Jun 20;14(7):631. doi: 10.3390/antibiotics14070631.

Abstract

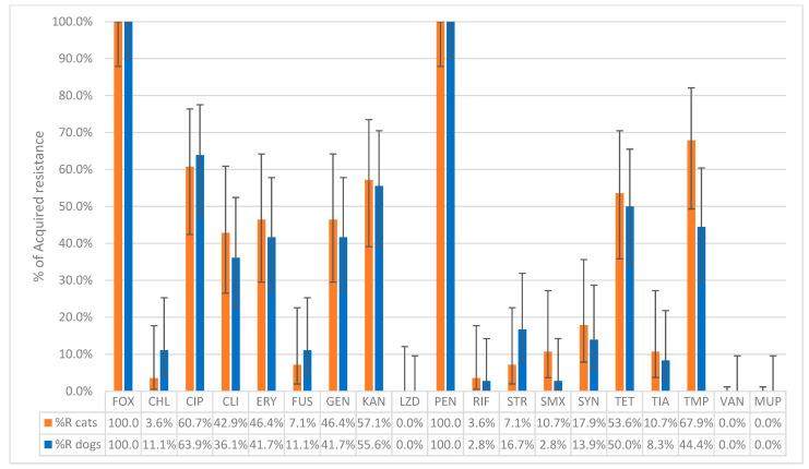
: Methicillin-resistant (MRSA) and methicillin-resistant (MRSP) represent important antimicrobial resistance threats related to companion animals, which can directly or indirectly lead to adverse health effects in humans and animals living in close contact. Characterizing the phenotypic resistance of MRSA and MRSP to a panel of antimicrobials relevant to both veterinary and human medicine is crucial within a "One Health" framework. : In this study, a total of 79 presumptive MRSA isolates (34 from cats, 45 from dogs) and 110 presumptive MRSP isolates (105 from dogs, 5 from cats) from clinical cases were analysed. Real-time PCR was used to detect the presence of and genes, and susceptibility testing was performed using the Sensititre EUST2 panel. : Most of the isolates (88.9%, 168/189) were positive for the gene, while a minority (1.1%, 2/189) were -positive (2 MRSA, 1 dog, 1 cat). MRSP isolates exhibited acquired resistance to a broader range of antibiotics compared to MRSA strains. Furthermore, several isolates demonstrated acquired resistance to antibiotics considered critically important for human medicine. Resistance to vancomycin was found in an MRSP isolate from a dog, and resistance to linezolid in an MRSP isolate from a cat. This study reveals that 83.3% (30/36) of MRSA isolates from dogs and 89.3% (25/28) from cats were multidrug-resistant organisms, while MRSP isolates exhibited multidrug resistance in 99% (101/102) of cases for dogs and 100% (4/4) for cats. : The extremely high level of multidrug resistance, with some isolates resistant to critically important antibiotics used in human medicine, highlight the importance of monitoring antimicrobial susceptibility in MRSA and MRSP isolates collected from cats and dogs in a One Health perspective.

摘要

耐甲氧西林金黄色葡萄球菌(MRSA)和耐甲氧西林凝固酶阴性葡萄球菌(MRSP)是与伴侣动物相关的重要抗菌药物耐药性威胁,可直接或间接对密切接触的人类和动物的健康产生不利影响。在“同一健康”框架内,表征MRSA和MRSP对一系列兽医和人类医学相关抗菌药物的表型耐药性至关重要。:在本研究中,分析了来自临床病例的总共79株疑似MRSA分离株(34株来自猫,45株来自狗)和110株疑似MRSP分离株(105株来自狗,5株来自猫)。使用实时PCR检测mecA和mecC基因的存在,并使用Sensititre EUST2 panel进行药敏试验。:大多数分离株(88.9%,168/189)mecA基因呈阳性,而少数(1.1%,2/189)mecC呈阳性(2株MRSA,1只狗,1只猫)。与MRSA菌株相比,MRSP分离株对更广泛的抗生素表现出获得性耐药。此外,一些分离株对被认为对人类医学至关重要的抗生素表现出获得性耐药。在一株来自狗的MRSP分离株中发现对万古霉素耐药,在一株来自猫的MRSP分离株中发现对利奈唑胺耐药。本研究表明,来自狗的MRSA分离株中有83.3%(30/36)和来自猫的MRSA分离株中有89.3%(25/28)是多重耐药菌,而MRSP分离株在99%(101/102)的狗病例和100%(4/4)的猫病例中表现出多重耐药。:极高水平的多重耐药性,一些分离株对人类医学中使用的至关重要的抗生素耐药,凸显了从“同一健康”角度监测从猫和狗中收集的MRSA和MRSP分离株抗菌药物敏感性的重要性。

https://cdn.ncbi.nlm.nih.gov/pmc/blobs/721d/12291941/7e54f9f28c9b/antibiotics-14-00631-g001.jpg

文献AI研究员

20分钟写一篇综述,助力文献阅读效率提升50倍。

立即体验

用中文搜PubMed

大模型驱动的PubMed中文搜索引擎

马上搜索

文档翻译

学术文献翻译模型,支持多种主流文档格式。

立即体验