Suppr超能文献

犬类和人类乳腺癌中肿瘤相关巨噬细胞与胶原重塑的比较分析

Tumor-Associated Macrophages and Collagen Remodeling in Mammary Carcinomas: A Comparative Analysis in Dogs and Humans.

作者信息

Garcia Ana Paula Vargas, Salvi Marisa, Reis Luana Aparecida, Ribeiro Bárbara Regina Melo, Nunes Cristiana Buzelin, de Paula Ana Maria, Cassali Geovanni Dantas

机构信息

Department of General Pathology, Institute of Biological Sciences, Federal University of Minas Gerais, Av. Pres. Antônio Carlos, 6627, Pampulha, Belo Horizonte 31270-901, MG, Brazil.

Department of Physics, Institute of Exact Sciences, Federal University of Minas Gerais, Av. Pres. Antônio Carlos, 6627, Pampulha, Belo Horizonte 31270-901, MG, Brazil.

出版信息

Int J Mol Sci. 2025 Jul 18;26(14):6928. doi: 10.3390/ijms26146928.

Abstract

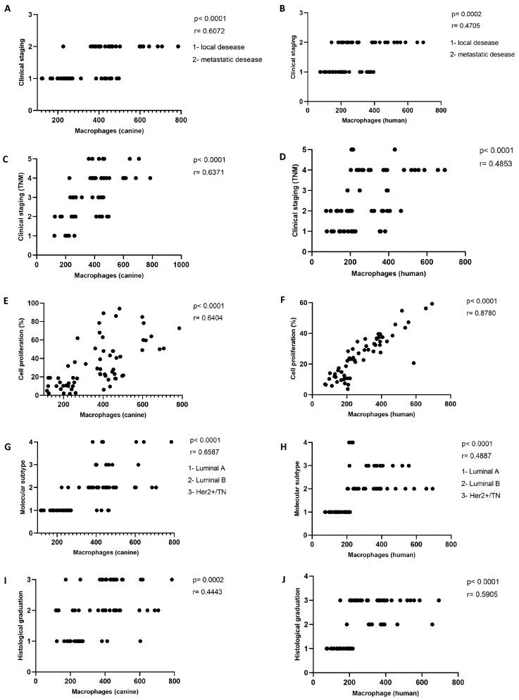
The tumor microenvironment (TME) plays a central role in cancer progression, with tumor-associated macrophages (TAMs) and extracellular matrix (ECM) components such as collagen being key modulators of invasiveness and immune regulation. Although macrophage infiltration and ECM remodeling are well-documented individually, their coordinated contribution to mammary carcinoma aggressiveness remains underexplored, particularly in comparative oncology models. This study analyzed 117 mammary carcinoma samples-59 from dogs and 58 from women-using immunohistochemistry, immunofluorescence, and second-harmonic-generation (SHG) microscopy. We quantified TAM density and phenotype (CD206, iNOS, and S100A8/A9), assessed collagen fiber organization, and examined correlations with clinical-pathological variables and overall survival. Increased TAM infiltration was associated with a higher histological grade, aggressive molecular subtypes, enhanced cell proliferation, and shortened survival in dogs. High TAM density also correlated with decreased collagen fiber length and increased alignment, suggesting active immune-matrix remodeling in aggressive tumors. Macrophage phenotyping revealed heterogeneous populations, with CD206 cells predominating in high-grade tumors, while S100A8/A9/iNOS phenotypes were enriched in less aggressive subtypes. The findings were consistent across species, reinforcing the relevance of canine models. Our results identify macrophage-collagen interactions as critical determinants of tumor aggressiveness in mammary carcinomas. This study bridges comparative oncology and translational research by proposing immune-ECM signatures as potential prognostic biomarkers and therapeutic targets. These insights contribute to the advancement of molecular oncology in Brazil by supporting innovative strategies that integrate immune modulation and matrix-targeted interventions in breast cancer.

摘要

肿瘤微环境(TME)在癌症进展中起着核心作用,肿瘤相关巨噬细胞(TAM)和细胞外基质(ECM)成分如胶原蛋白是侵袭性和免疫调节的关键调节因子。尽管巨噬细胞浸润和ECM重塑已分别得到充分记录,但它们对乳腺癌侵袭性的协同作用仍未得到充分探索,尤其是在比较肿瘤学模型中。本研究使用免疫组织化学、免疫荧光和二次谐波产生(SHG)显微镜分析了117例乳腺癌样本,其中59例来自犬类,58例来自女性。我们量化了TAM密度和表型(CD206、iNOS和S100A8/A9),评估了胶原纤维组织,并检查了与临床病理变量和总生存期的相关性。TAM浸润增加与犬类的更高组织学分级、侵袭性分子亚型、增强的细胞增殖和缩短的生存期相关。高TAM密度还与胶原纤维长度减少和排列增加相关,表明侵袭性肿瘤中存在活跃的免疫-基质重塑。巨噬细胞表型分析揭示了异质性群体,CD206细胞在高级别肿瘤中占主导地位,而S100A8/A9/iNOS表型在侵袭性较低的亚型中富集。这些发现在不同物种间是一致的,加强了犬类模型的相关性。我们的结果确定巨噬细胞-胶原蛋白相互作用是乳腺癌肿瘤侵袭性的关键决定因素。本研究通过提出免疫-ECM特征作为潜在的预后生物标志物和治疗靶点,架起了比较肿瘤学和转化研究之间的桥梁。这些见解通过支持将免疫调节和基质靶向干预整合到乳腺癌中的创新策略,为巴西分子肿瘤学的发展做出了贡献。

https://cdn.ncbi.nlm.nih.gov/pmc/blobs/163f/12295298/a192ec1c6822/ijms-26-06928-g001.jpg

文献AI研究员

20分钟写一篇综述,助力文献阅读效率提升50倍。

立即体验

用中文搜PubMed

大模型驱动的PubMed中文搜索引擎

马上搜索

文档翻译

学术文献翻译模型,支持多种主流文档格式。

立即体验