Suppr超能文献

用48/80佐剂无细胞百日咳疫苗进行鼻腔免疫是诱导百日咳特异性全身和黏膜免疫的有效策略。

Nasal immunization with compound 48/80-adjuvanted acellular pertussis vaccines is an effective strategy to induce pertussis-specific systemic and mucosal immunity.

作者信息

Church Alison Hofmann, Abraham Soman N, Staats Herman F, Johnson-Weaver Brandi T

机构信息

Department of Pediatrics, Duke University Medical Center, Durham, NC, USA.

Department of Pathology, Duke University Medical Center, Durham, NC, USA.

出版信息

Clin Exp Vaccine Res. 2025 Jul;14(3):246-260. doi: 10.7774/cevr.2025.14.e23. Epub 2025 Apr 15.

Abstract

PURPOSE

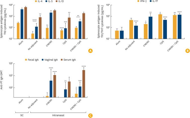
Mast cell activating adjuvants induce vaccine-specific systemic and mucosal immunity when administered intranasally. infects the respiratory tract and caused 0.45% childhood mortality in the United States before implementing pertussis vaccines. Pertussis infections are resurging. Immunity induced by current pertussis vaccines wanes quickly, possibly due to vaccine-induced T helper (Th) 2 and weak mucosal immunity. induces Th1, Th17, and mucosal immunoglobulin A (IgA) immunity, providing durable protection against disease. Next-generation pertussis vaccines that induce Th1, Th17, and IgA immunity may reduce the resurgence of pertussis. This study determined if nasal pertussis vaccines adjuvanted with the mast cell activator compound 48/80 (C48/80) modulate pertussis-specific immunity.

MATERIALS AND METHODS

Mice received intranasal C48/80-adjuvanted pertussis vaccines or subcutaneous aluminum-adjuvanted pertussis vaccines. Immunized mice were challenged with and monitored for protection against infection. Pertussis-specific immune profiles were characterized after immunization. A C48/80 and CpG adjuvant combination was evaluated to enhance pertussis-specific Th1 immunity.

RESULTS

Alum-adjuvanted pertussis vaccines induce Th2 immunity and undetectable IgA responses. Nasal C48/80-adjuvanted pertussis vaccines enhance pertussis-specific serum and mucosal IgA and Th2 and Th17 responses but not Th1 immunity. The C48/80 and CpG adjuvant combination enhances systemic and mucosal pertussis-specific Th1, Th17, and IgA compared to unadjuvanted pertussis vaccines, which may be the desired immune response to protect against pertussis infections.

CONCLUSION

We demonstrate that nasal pertussis vaccines containing C48/80 adjuvants induce pertussis-specific IgA, Th1-, and Th17-associated immunity when combined with CpG, which may be an effective strategy to improve pertussis vaccines.

摘要

目的

肥大细胞激活佐剂经鼻内给药时可诱导疫苗特异性的全身和黏膜免疫。百日咳杆菌感染呼吸道,在实施百日咳疫苗之前,在美国导致0.45%的儿童死亡。百日咳感染正在卷土重来。当前百日咳疫苗诱导的免疫力迅速减弱,可能是由于疫苗诱导的辅助性T细胞(Th)2反应以及较弱的黏膜免疫。[某种物质]可诱导Th1、Th17和黏膜免疫球蛋白A(IgA)免疫,提供对疾病的持久保护。诱导Th1、Th17和IgA免疫的下一代百日咳疫苗可能会减少百日咳的复发。本研究确定了用肥大细胞激活剂化合物48/80(C48/80)佐剂的鼻内百日咳疫苗是否能调节百日咳特异性免疫。

材料与方法

小鼠接受经鼻内C48/80佐剂的百日咳疫苗或皮下铝佐剂的百日咳疫苗。对免疫的小鼠用[某种物质]进行攻击,并监测其对感染的保护作用。免疫后对百日咳特异性免疫谱进行表征。评估C48/80和CpG佐剂组合以增强百日咳特异性Th1免疫。

结果

铝佐剂百日咳疫苗诱导Th2免疫且IgA反应无法检测到。经鼻内C48/80佐剂的百日咳疫苗可增强百日咳特异性血清和黏膜IgA以及Th2和Th17反应,但不能增强Th1免疫。与无佐剂的百日咳疫苗相比,C48/80和CpG佐剂组合增强了全身和黏膜百日咳特异性Th1、Th17和IgA,这可能是预防百日咳感染所需的免疫反应。

结论

我们证明,含有C48/80佐剂的鼻内百日咳疫苗与CpG联合使用时可诱导百日咳特异性IgA、Th1和Th17相关免疫,这可能是改进百日咳疫苗的有效策略。

https://cdn.ncbi.nlm.nih.gov/pmc/blobs/6ccb/12303703/16096a64991f/cevr-14-246-g001.jpg

文献AI研究员

20分钟写一篇综述,助力文献阅读效率提升50倍。

立即体验

用中文搜PubMed

大模型驱动的PubMed中文搜索引擎

马上搜索

文档翻译

学术文献翻译模型,支持多种主流文档格式。

立即体验