Suppr超能文献

抗癌免疫中的非常规T细胞。

Unconventional T cells in anti-cancer immunity.

作者信息

Laub Ariel, Rodrigues de Almeida Nathalia, Huang Shouxiong

机构信息

Host-Pathogen Interactions Program, Texas Biomedical Research Program, San Antonio, TX, United States.

Department of Molecular Microbiology and Immunology, University of Texas at San Antonio, San Antonio, TX, United States.

出版信息

Front Immunol. 2025 Jul 17;16:1618393. doi: 10.3389/fimmu.2025.1618393. eCollection 2025.

Abstract

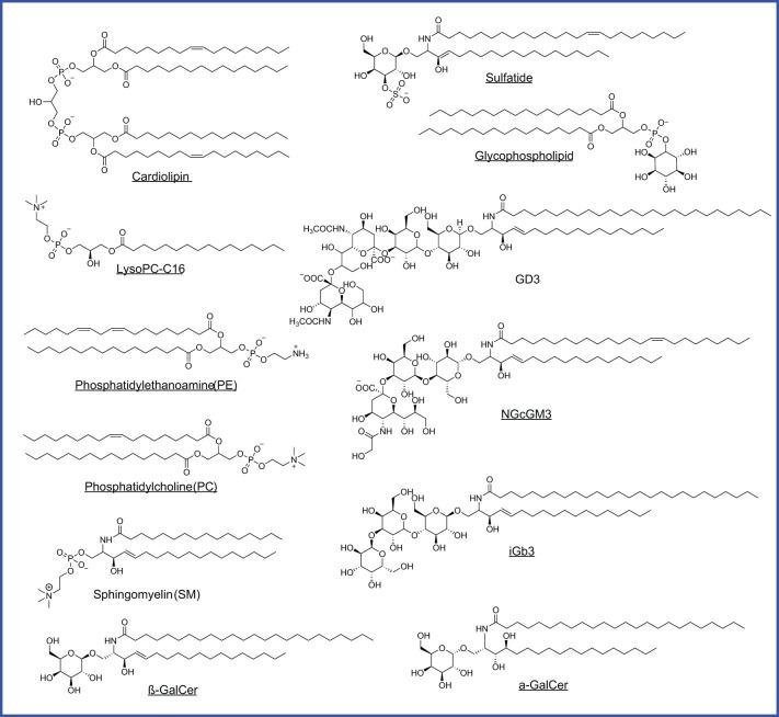
Unlike conventional T cells that detect peptide antigens loaded to major histocompatibility complex (MHC) molecules, unconventional T cells respond to non-peptidic metabolite antigens presented by MHC class I-like proteins, such as CD1 and MHC-related protein 1 (MR1). Semi-invariant mucosal-associated invariant T (MAIT) cells, γδ T cells, and invariant natural killer T (iNKT) cells, together with other CD1- or MR1-restricted T cell subsets expressing diverse T cell receptors (TCR), elicit an innate-like response independent of diverse MHC genetics. In contrast to an overall enhanced response to bacterial-derived riboflavin precursor metabolites in infections, MAIT cells often exhibit an immunosuppressive or exhausted phenotype in glioblastoma, lung cancer, colorectal cancer, and various hematological malignancies. Whereas some tumor cells can activate MAIT cells, the structures and functions of tumor-derived MR1 ligands remain largely unknown. Novel discoveries of mammalian-derived agonists and antagonists binding to MR1 protein are our knowledge of MR1 ligand structures and functions from MAIT cell activation in healthy conditions to anti-cancer immunity. Recent findings reveal that nucleoside and nucleobase analogs, as self-metabolites to activate MR1-restricted T cells, are regulated in the tumor microenvironment. Likewise, iNKT cells exhibit a dynamic role in cancer, capable of both protumor and antitumor immunity. Similarly, γδ T cells have also demonstrated both protective and tumor-promoting roles, via recognizing stress-induced protein and metabolite ligands. This review further depicts the distinct kinetics of responses, highlighting a rapid activation of unconventional T cells in solid versus hematological cancers. Emerging therapeutic strategies, including antigen-loaded MR1 and CD1, adoptive T cell transfer, chimeric antigen receptor-T (CAR-T) cells, T cell receptor-T (TCR-T) cells, and combination treatments with immune checkpoint inhibitors, yet remain challenging, hold promise in overcoming tumor-induced immunosuppression and genetic restriction of conventional T cell therapies. By addressing critical gaps, such as novel structures and functions of cancer metabolite antigens, unconventional T cells offer unique advantages in anti-cancer immunotherapy.

摘要

与检测加载到主要组织相容性复合体(MHC)分子上的肽抗原的传统T细胞不同,非常规T细胞对由类MHC I类蛋白(如CD1和MHC相关蛋白1(MR1))呈递的非肽代谢物抗原作出反应。半不变黏膜相关恒定T(MAIT)细胞、γδT细胞和恒定自然杀伤T(iNKT)细胞,以及其他表达不同T细胞受体(TCR)的CD1或MR1限制性T细胞亚群,引发一种独立于多种MHC基因的固有样反应。与感染中对细菌衍生的核黄素前体代谢物的整体反应增强相反,MAIT细胞在胶质母细胞瘤、肺癌、结直肠癌和各种血液系统恶性肿瘤中通常表现出免疫抑制或耗竭表型。虽然一些肿瘤细胞可以激活MAIT细胞,但肿瘤衍生的MR1配体的结构和功能在很大程度上仍然未知。与MR1蛋白结合的哺乳动物衍生激动剂和拮抗剂的新发现,是我们从健康状态下MAIT细胞激活到抗癌免疫对MR1配体结构和功能的认识。最近的研究发现,核苷和核碱基类似物作为激活MR1限制性T细胞的自身代谢物,在肿瘤微环境中受到调控。同样,iNKT细胞在癌症中发挥着动态作用,既能促进肿瘤生长,也能发挥抗肿瘤免疫作用。类似地,γδT细胞也通过识别应激诱导的蛋白质和代谢物配体,表现出保护和促进肿瘤的双重作用。本综述进一步描述了不同的反应动力学,强调了非常规T细胞在实体癌和血液系统癌症中的快速激活。新兴的治疗策略,包括加载抗原的MR1和CD1、过继性T细胞转移、嵌合抗原受体T(CAR-T)细胞、T细胞受体T(TCR-T)细胞,以及与免疫检查点抑制剂的联合治疗,虽然仍然具有挑战性,但有望克服肿瘤诱导的免疫抑制和传统T细胞疗法的基因限制。通过填补关键空白,如癌症代谢物抗原的新结构和功能,非常规T细胞在抗癌免疫治疗中具有独特优势。

https://cdn.ncbi.nlm.nih.gov/pmc/blobs/1eab/12310680/f5ab58aa0d1f/fimmu-16-1618393-g001.jpg

文献AI研究员

20分钟写一篇综述,助力文献阅读效率提升50倍。

立即体验

用中文搜PubMed

大模型驱动的PubMed中文搜索引擎

马上搜索

文档翻译

学术文献翻译模型,支持多种主流文档格式。

立即体验