Suppr超能文献

美国成年人中心血管代谢指数与胆结石疾病的非线性关联:一项横断面研究。

Non-linear association of cardiometabolic index with gallstone disease in US adults: A cross-sectional study.

作者信息

Xiong Zhe, Sun Qiuyue, Huang Jin, Li Fengdong

机构信息

Department of Gastroenterology, Changzhou second Peoples Hospital Affiliated to Nanjing Medical University, Changzhou, Jiangsu Province, China.

Graduate School of Nanjing Medical University, Nanjing, Jiangsu Province, China.

出版信息

PLoS One. 2025 Aug 1;20(8):e0328415. doi: 10.1371/journal.pone.0328415. eCollection 2025.

Abstract

OBJECTIVE

Obesity and disorders of lipid metabolism are key factors in gallstone formation. The cardiometabolic index (CMI) is a new marker combining obesity indicators (WHtR) and lipid levels (TG/HDL-C). The aim of this study was to investigate whether CMI is associated with the prevalence of gallstone disease (GSD) in adults.

METHODS

This study was a cross-sectional study by cohort data from the National Health and Nutrition Examination Survey (NHANES) January 2017-March 2020 cycle. Using sample-weighted multivariate logistic regression analysis, sample weighted restricted cubic spline (RCS), the receiver operating characteristic (ROC) and subgroup analysis to assist us with gaining insight into the association between CMI and GSD.

RESULTS

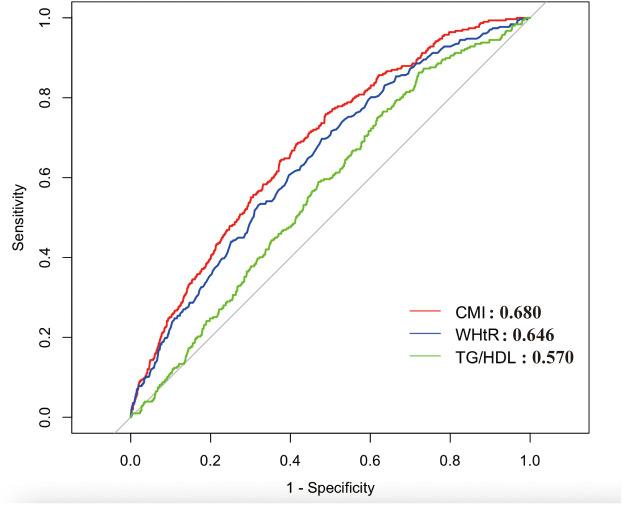
Among the 2825 included participants, 307 of them were patients with GSD. In a model adjusting for multiple covariates, each unit increase in CMI increased the odds of GSD by 16% (OR = 1.16; 95% CI = 1.04-1.30; P = 0.015). Compared to participants with the lowest CMI, those with the highest index had a significantly increased risk of GSD (OR = 2.52; 95% CI = 1.45-4.36; P = 0.006). The sample-weighted multivariable adjusted RCS revealed a nonlinear relationship between CMI and GSD. ROC analysis revealed that CMI had a high predictive effect on the diagnosis of GSD (AUC = 0.680). Subgroup analysis suggested the influence of gender differences on the relationship between CMI and GSD.

CONCLUSIONS

The present study found that elevated CMI significantly increased the risk of GSD and emphasized the non-linear relationship between both. These results suggest that CMI could be a potential marker for early screening and intervention of GSD, thus providing guidance for future clinical management of GSD.

摘要

目的

肥胖和脂质代谢紊乱是胆结石形成的关键因素。心脏代谢指数(CMI)是一种结合肥胖指标(腰高比)和血脂水平(甘油三酯/高密度脂蛋白胆固醇)的新标志物。本研究旨在调查CMI是否与成人胆结石疾病(GSD)的患病率相关。

方法

本研究是一项横断面研究,采用了2017年1月至2020年3月期间美国国家健康与营养检查调查(NHANES)的队列数据。使用样本加权多元逻辑回归分析、样本加权受限立方样条(RCS)、受试者工作特征(ROC)和亚组分析来帮助我们了解CMI与GSD之间的关联。

结果

在纳入的2825名参与者中,有307人患有GSD。在调整了多个协变量的模型中,CMI每增加一个单位,GSD的患病几率增加16%(OR = 1.16;95%CI = 1.04 - 1.30;P = 0.015)。与CMI最低的参与者相比,指数最高的参与者患GSD的风险显著增加(OR = 2.52;95%CI = 1.45 - 4.36;P = 0.006)。样本加权多变量调整后的RCS显示CMI与GSD之间存在非线性关系。ROC分析显示CMI对GSD的诊断具有较高的预测效果(AUC = 0.680)。亚组分析表明性别差异对CMI与GSD之间关系的影响。

结论

本研究发现CMI升高显著增加了GSD的风险,并强调了两者之间的非线性关系。这些结果表明CMI可能是GSD早期筛查和干预的潜在标志物,从而为未来GSD的临床管理提供指导。

https://cdn.ncbi.nlm.nih.gov/pmc/blobs/8d1d/12316293/e2a7f3a82a0b/pone.0328415.g001.jpg

文献AI研究员

20分钟写一篇综述,助力文献阅读效率提升50倍。

立即体验

用中文搜PubMed

大模型驱动的PubMed中文搜索引擎

马上搜索

文档翻译

学术文献翻译模型,支持多种主流文档格式。

立即体验