Suppr超能文献

预测初诊不可切除肝细胞癌的复发及无复发生存率:一种用于接受乐伐替尼、PD-1抑制剂及介入治疗的转化性肝切除术患者的新型列线图

Predicting recurrence and recurrence-free survival in initially unresectable hepatocellular carcinoma: a novel nomogram for patients undergoing conversion hepatectomy with lenvatinib, PD-1 inhibitor, and interventional therapy.

作者信息

Xu Cheng, Tang Zhihong, Wei Meng, Liu Danxi, Pang Qingqing, Huang Baishan, Mo Xinglin, Wu Feixiang

机构信息

Department of Hepatobiliary Surgery, Guangxi Medical University Cancer Hospital, Nanning, China.

Key Laboratory of Early Prevention and Treatment for Regional High Frequency Tumor (Guangxi Medical University), Ministry of Education, Nanning, China.

出版信息

Front Immunol. 2025 Jul 30;16:1602327. doi: 10.3389/fimmu.2025.1602327. eCollection 2025.

Abstract

PURPOSE

This research aims to develop prognostic nomograms to predict tumor recurrence and recurrence-free survival (RFS) in individuals with initially unresectable hepatocellular carcinoma (uHCC) who were later subjected to conversion hepatectomy following lenvatinib, PD-1 inhibitors, and interventional (LPI) therapy.

METHODS

We performed a retrospective review of clinical information from 150 individuals diagnosed with HCC who underwent conversion hepatectomy following LPI therapy between November 2019 and December 2024. Independent predictors linked to recurrence and RFS were identified through comprehensive univariate and multivariate analyses, and the identified factors were subsequently integrated into nomogram models. Receiver operating characteristic (ROC) curves, calibration plots, and the concordance index (C-index) were employed to evaluate the predictive performance of the nomograms.

RESULTS

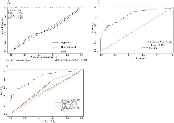
Our investigation identified several key risk factors for recurrence, including age, tumor number, tumor differentiation, preoperative prognostic nutritional index (PNI), preoperative systemic immune-inflammation index (SII), and postoperative protein induced by vitamin K absence or antagonist-II (PIVKA-II) level. For RFS, significant predictors included tumor number, tumor differentiation, preoperative SII, postoperative PIVKA-II, and postoperative alpha-fetoprotein (AFP) levels. The nomograms exhibited strong predictive performance, achieving a C-index of 0.837 (95% CI: 0.775-0.896) for recurrence prediction and 0.837 (95% CI: 0.788-0.886) for RFS. Our nomogram for recurrence prediction outperformed traditional staging systems like China Liver Cancer (CNLC) staging and Barcelona Clinic Liver Cancer (BCLC). Calibration curves and discriminative ability assessments confirmed the nomograms' reliability in predicting actual outcomes and stratifying patients into distinct prognostic subgroups with significant RFS differences across risk categories.

CONCLUSIONS

The nomogram models established in this research provide an exceptionally accurate and individualized method for predicting recurrence and RFS in initially uHCC patients undergoing LPI-based conversion hepatectomy, potentially aiding clinicians in devising tailored treatment plans and enhancing patient outcomes.

摘要

目的

本研究旨在开发预后列线图,以预测初始不可切除的肝细胞癌(uHCC)患者在接受乐伐替尼、PD-1抑制剂和介入治疗(LPI)后进行转化肝切除术后的肿瘤复发和无复发生存期(RFS)。

方法

我们对2019年11月至2024年12月期间150例经LPI治疗后接受转化肝切除的HCC诊断患者的临床信息进行了回顾性分析。通过全面的单因素和多因素分析确定与复发和RFS相关的独立预测因素,随后将确定的因素整合到列线图模型中。采用受试者工作特征(ROC)曲线、校准图和一致性指数(C指数)评估列线图的预测性能。

结果

我们的研究确定了几个复发的关键危险因素,包括年龄、肿瘤数量、肿瘤分化、术前预后营养指数(PNI)、术前全身免疫炎症指数(SII)和术后维生素K缺乏或拮抗剂-II诱导蛋白(PIVKA-II)水平。对于RFS,显著的预测因素包括肿瘤数量、肿瘤分化、术前SII、术后PIVKA-II和术后甲胎蛋白(AFP)水平。列线图表现出强大的预测性能,复发预测的C指数为0.837(95%CI:0.775-0.896),RFS的C指数为0.837(95%CI:0.788-0.886)。我们的复发预测列线图优于中国肝癌(CNLC)分期和巴塞罗那临床肝癌(BCLC)等传统分期系统。校准曲线和鉴别能力评估证实了列线图在预测实际结果以及将患者分层到不同预后亚组方面的可靠性,不同风险类别之间的RFS存在显著差异。

结论

本研究建立的列线图模型为预测初始uHCC患者接受基于LPI的转化肝切除术后的复发和RFS提供了一种极其准确和个性化的方法,可能有助于临床医生制定量身定制的治疗方案并改善患者预后。

https://cdn.ncbi.nlm.nih.gov/pmc/blobs/bcf1/12343488/7ad95f25b558/fimmu-16-1602327-g001.jpg

文献AI研究员

20分钟写一篇综述,助力文献阅读效率提升50倍。

立即体验

用中文搜PubMed

大模型驱动的PubMed中文搜索引擎

马上搜索

文档翻译

学术文献翻译模型,支持多种主流文档格式。

立即体验