Suppr超能文献

重金属在微塑料与天然来源的溶解有机物中引发不同的分子转变。

Heavy metals trigger distinct molecular transformations in microplastic-versus natural-derived dissolved organic matter.

作者信息

Zhong Xianbao, Zhao Kaiying, Wu Mengyuan, Zhang Yaohui, Ma Chiyue, Liu Hexiang, Chang Bokun, Lian Xiaohui, Li Yujing, Huang Zixuan, Zhu Lang, Zhang Ming, Zhang Chi, Yang Yajun, Lv Jialong

机构信息

College of Natural Resources and Environment, Northwest A&F University, Yangling, 712100, PR China.

Key Laboratory of Plant Nutrition and the Agri-environment in Northwest China, Ministry of Agriculture, Yangling, 712100, PR China.

出版信息

Environ Sci Ecotechnol. 2025 Jul 30;27:100610. doi: 10.1016/j.ese.2025.100610. eCollection 2025 Sep.

Abstract

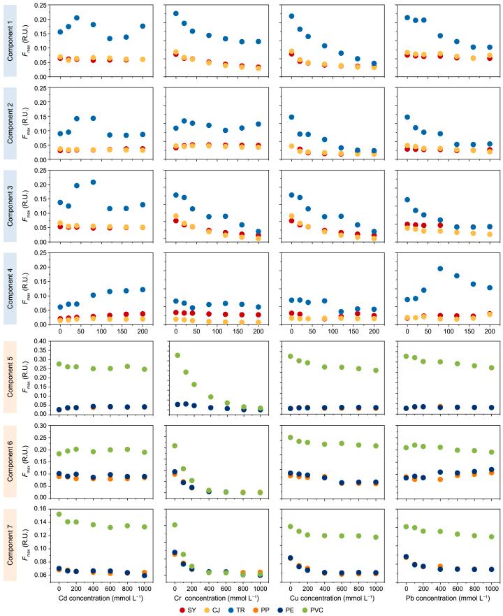
Dissolved organic matter (DOM) is a key determinant of heavy metal fate in aquatic environments, influencing their mobility, toxicity, and bioavailability. Derived from natural sources such as soil and vegetation decomposition, natural DOM (N-DOM) typically features humic-like substances with abundant oxygen-containing functional groups that stabilize heavy metals through complexation. However, microplastic-derived DOM (MP-DOM), increasingly prevalent due to plastic degradation, may interact differently with heavy metals, potentially exacerbating environmental risks amid rising plastic pollution. Yet, how heavy metals drive molecular transformations in MP-DOM versus N-DOM remains unclear, hindering accurate pollution assessments. Here, we compare interactions between N-DOM and MP-DOM with cadmium, chromium (Cr), copper, and lead from both fluorescence and molecular perspectives. Our results show that N-DOM, dominated by humic-like substances (46.0-57.3 %), lignin-like (55.0-64.9 %), and tannin-like (10.1-17.6 %) compounds, forms more stable heavy metal complexes via carboxyl, phenolic hydroxyl, and ether groups than MP-DOM. By contrast, MP-DOM-enriched in protein/phenolic-like substances (13.8-24.0 %), condensed aromatic (12.1-28.5 %), and protein/aliphatic-like (8.6-12.4 %) compounds-yields less stable complexes and is highly susceptible to Cr-induced oxidation. Mass-difference network analysis and density functional theory calculations further reveal that both DOM types undergo heavy-metal-triggered decarboxylation and dealkylation, but N-DOM retains complex structures, whereas MP-DOM degrades into smaller, hazardous molecules such as phenol and benzene. This study underscores the potential for heavy metals to exacerbate the ecological risks associated with the transformation of MP-DOM, providing crucial insights to inform global risk assessment and management strategies in contaminated waters where plastic and metal pollution co-occur.

摘要

溶解有机物(DOM)是水生环境中重金属归宿的关键决定因素,影响着重金属的迁移性、毒性和生物可利用性。天然DOM(N-DOM)来源于土壤和植被分解等自然源,通常具有类似腐殖质的物质,含有丰富的含氧官能团,通过络合作用稳定重金属。然而,由于塑料降解,微塑料衍生的DOM(MP-DOM)越来越普遍,它与重金属的相互作用可能不同,在塑料污染不断加剧的情况下,可能会加剧环境风险。然而,重金属如何驱动MP-DOM与N-DOM中的分子转化仍不清楚,这阻碍了准确的污染评估。在此,我们从荧光和分子角度比较了N-DOM和MP-DOM与镉、铬(Cr)、铜和铅之间的相互作用。我们的结果表明,以类似腐殖质的物质(46.0-57.3%)、类似木质素的物质(55.0-64.9%)和类似单宁的物质(10.1-17.6%)为主的N-DOM,通过羧基、酚羟基和醚基形成比MP-DOM更稳定的重金属络合物。相比之下,富含蛋白质/酚类物质(13.8-24.0%)、缩合芳烃(12.1-28.5%)和蛋白质/脂肪类物质(8.6-12.4%)的MP-DOM产生的络合物稳定性较差,并且极易受到Cr诱导的氧化作用。质量差异网络分析和密度泛函理论计算进一步表明,两种DOM类型都会发生重金属引发的脱羧和脱烷基反应,但N-DOM保留了复杂的结构,而MP-DOM则降解为较小的有害分子,如苯酚和苯。这项研究强调了重金属加剧与MP-DOM转化相关的生态风险的可能性,为受污染水体中塑料和金属污染同时存在的全球风险评估和管理策略提供了关键见解。

https://cdn.ncbi.nlm.nih.gov/pmc/blobs/7896/12346021/a12d7f04e2b2/ga1.jpg

文献AI研究员

20分钟写一篇综述,助力文献阅读效率提升50倍。

立即体验

用中文搜PubMed

大模型驱动的PubMed中文搜索引擎

马上搜索

文档翻译

学术文献翻译模型,支持多种主流文档格式。

立即体验