Suppr超能文献

红细胞计数及其与糖尿病视网膜病变的负相关关系:一项回顾性队列研究中风险评估模型的探索性开发

Red blood cell count and its inverse association with diabetic retinopathy: Exploratory development of a risk assessment model in a retrospective cohort.

作者信息

Li Jing, Xu Qian, Yuan Xiao, Hu Wen

机构信息

Department of Endocrinology and Metabolism, Suqian First Hospital, Suqian, Jiangsu, China.

Department of Endocrinology and Metabolism, Huai'an Hospital Affiliated to Xuzhou Medical University and Huai'an Second People's Hospital, Huai'an, Jiangsu, China.

出版信息

Front Endocrinol (Lausanne). 2025 Aug 8;16:1571192. doi: 10.3389/fendo.2025.1571192. eCollection 2025.

Abstract

OBJECTIVE

The purpose of this exploratory study was to investigate the association between red blood cell count (RBC) and diabetic retinopathy (DR) and to develop a preliminary risk assessment framework.

METHODS

A total of 413 individuals diagnosed with type 2 diabetes mellitus (T2DM) at Suqian First Hospital's Endocrinology Department were included in this study. These participants were divided into training and validation groups in a 7:3 ratio, consisting of 289 and 124 patients respectively. In the training cohort, potential predictive variables were determined through both univariate and multivariate analyses utilizing forward-backward stepwise selection. Only variables with p < 0.05 were included in the nomogram, which encompassed demographic information, clinical laboratory results, and diabetes-associated complications. The performance of the model was evaluated in both groups using receiver operating characteristic (ROC) curve analysis, the Hosmer-Lemeshow test for calibration, and decision curve analysis (DCA) to determine clinical utility.

RESULTS

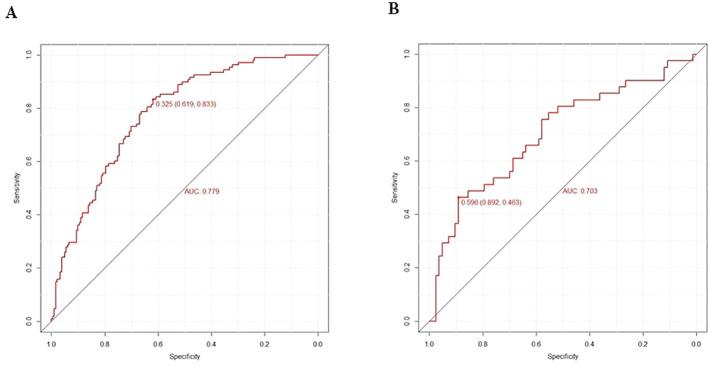
Out of 20 clinical variables examined, five were chosen to develop the nomogram: RBC, serum creatinine (SCR), diabetes duration, diabetic peripheral neuropathy (DPN), and diabetic kidney disease (DKD). The ROC analysis revealed that the area under the curve (AUC) for the training cohort was 0.765 (95% CI 0.709-0.821) and for the validation cohort was 0.707 (95% CI 0.616-0.798). Results from the Hosmer-Lemeshow test were p = 0.233 and p = 0.579, indicating a good fit. The nomogram demonstrated excellent predictive accuracy and provides a quantitative tool for assessing the risk of DR in individuals with T2DM.

CONCLUSION

Our findings suggest an inverse association between RBC levels and DR risk. The exploratory model incorporating RBC provides an initial framework for evaluating DR risk in patients with T2DM. Further validation in prospective cohorts is needed to refine this framework before considering clinical applications.

摘要

目的

本探索性研究旨在调查红细胞计数(RBC)与糖尿病视网膜病变(DR)之间的关联,并建立初步的风险评估框架。

方法

本研究纳入了宿迁市第一医院内分泌科诊断为2型糖尿病(T2DM)的413名个体。这些参与者按7:3的比例分为训练组和验证组,分别由289名和124名患者组成。在训练队列中,通过单变量和多变量分析利用向前向后逐步选择来确定潜在的预测变量。只有p<0.05的变量被纳入列线图,该列线图包括人口统计学信息、临床实验室结果和糖尿病相关并发症。使用受试者工作特征(ROC)曲线分析、校准的Hosmer-Lemeshow检验和决策曲线分析(DCA)在两组中评估模型的性能,以确定临床实用性。

结果

在检查的20个临床变量中,选择了5个来建立列线图:红细胞计数、血清肌酐(SCR)、糖尿病病程、糖尿病周围神经病变(DPN)和糖尿病肾病(DKD)。ROC分析显示,训练队列的曲线下面积(AUC)为0.765(95%CI 0.709-0.821),验证队列的曲线下面积为0.707(95%CI 0.616-0.798)。Hosmer-Lemeshow检验的结果为p=0.233和p=0.579,表明拟合良好。该列线图显示出优异的预测准确性,并为评估T2DM个体发生DR的风险提供了一种定量工具。

结论

我们的研究结果表明红细胞水平与DR风险之间存在负相关。纳入红细胞计数的探索性模型为评估T2DM患者的DR风险提供了一个初步框架。在考虑临床应用之前需要在前瞻性队列中进行进一步验证以完善该框架。

https://cdn.ncbi.nlm.nih.gov/pmc/blobs/7165/12375921/b6db47ba358c/fendo-16-1571192-g001.jpg

文献AI研究员

20分钟写一篇综述,助力文献阅读效率提升50倍。

立即体验

用中文搜PubMed

大模型驱动的PubMed中文搜索引擎

马上搜索

文档翻译

学术文献翻译模型,支持多种主流文档格式。

立即体验