Suppr超能文献

胃食管反流病、巴雷特食管与耳部疾病之间的关联:一项孟德尔随机化研究。

Association Between Gastroesophageal Reflux Disease, Barrett's Esophagus and Ear Disorders: A Mendelian Randomization Study.

作者信息

Zhao Wen, Hao Xu-Rui, Zhao Han-Lin, Ma Ye-Sen, Li Han-Xu, Yang Qian, Jiang Jian-Ming, Bai Hai-Yan

机构信息

School of Graduate, Hebei Chinese Medical University, Shijiazhuang, People's Republic of China.

Department of Gastroenterology, Hebei Provincial Hospital of Chinese Medicine, Shijiazhuang, People's Republic of China.

出版信息

J Multidiscip Healthc. 2025 Aug 20;18:5061-5074. doi: 10.2147/JMDH.S530915. eCollection 2025.

Abstract

OBJECTIVE

This study aims to examine the correlation between gastroesophageal reflux disease (GERD), Barrett's esophagus (BE), and ear disorders using Mendelian randomization (MR).

METHODS

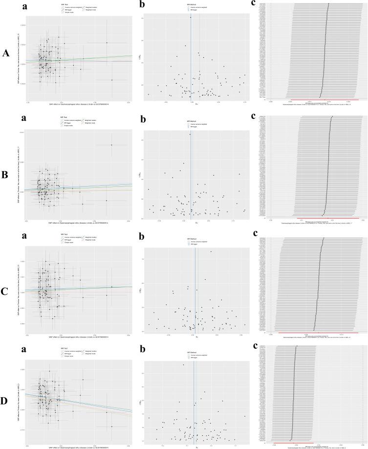
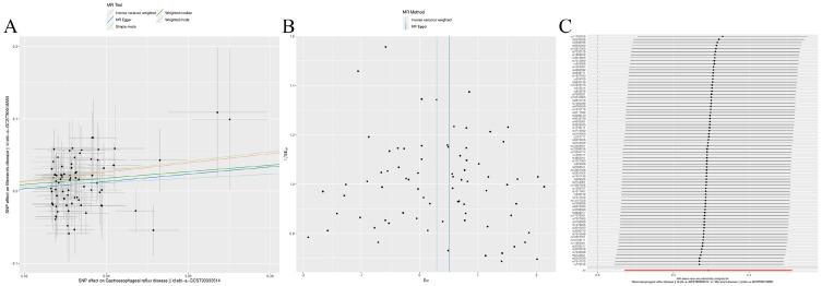
For GERD, BE, and ear disorders, GWAS genetic data from individuals of European ancestry in the IEU GWAS database (https://gwas.mrcieu.ac.uk/) was utilized in this study. Three MR methods were applied for preliminary analysis, with causal estimates determined using the inverse variance weighted method. Sensitivity analysis was conducted to assess heterogeneity and pleiotropy.

RESULTS

Potential effects of genetically predicted GERD on ear disorders were identified in this study. GERD was associated with Ménière's disease (OR = 1.334, 95% CI: 1.073-1.671, = 0.009), sensorineural hearing loss (OR = 1.127, 95% CI: 1.019-1.245, = 0.019), vestibular dysfunction (OR = 1.178, 95% CI: 1.025-1.354, = 0.021), constant tinnitus (OR = 1.019, 95% CI: 1.009-1.029, = 0.0003), tinnitus occurring most of the time (OR = 1.007, 95% CI: 1.001-1.012, = 0.019), and occasional tinnitus (OR = 1.014, 95% CI: 1.005-1.023, = 0.002). Higher GERD levels were linked to an increased risk of these ear disorders. For individuals who never experienced tinnitus (OR = 0.939, 95% CI: 0.923-0.957, = 1.2721E-11), elevated GERD levels were associated with a reduced likelihood of never experiencing tinnitus. No causal association was found between GERD and otitis media (OR = 1.093, 95% CI: 0.884-1.352, = 0.412). BE demonstrated no causal relationship with ear disorder risk.

CONCLUSION

Under MR assumptions, the findings of this study indicate that GERD may increase the risk of tinnitus, Ménière's disease, vestibular dysfunction, and sensorineural hearing loss.

摘要

目的

本研究旨在利用孟德尔随机化(MR)方法检验胃食管反流病(GERD)、巴雷特食管(BE)与耳部疾病之间的相关性。

方法

对于GERD、BE和耳部疾病,本研究使用了IEU全基因组关联研究(GWAS)数据库(https://gwas.mrcieu.ac.uk/)中欧洲血统个体的GWAS遗传数据。应用三种MR方法进行初步分析,采用逆方差加权法确定因果估计值。进行敏感性分析以评估异质性和多效性。

结果

本研究确定了基因预测的GERD对耳部疾病的潜在影响。GERD与梅尼埃病(比值比[OR]=1.334,95%置信区间[CI]:1.073 - 1.671,P = 0.009)、感音神经性听力损失(OR = 1.127,95% CI:1.019 - 1.245,P = 0.019)、前庭功能障碍(OR = 1.178,95% CI:1.025 - 1.354,P = 0.021)、持续性耳鸣(OR = 1.019,95% CI:1.009 - 1.029,P = 0.0003)、大部分时间出现的耳鸣(OR = 1.007,95% CI:1.001 - 1.012,P = 0.019)以及偶尔出现的耳鸣(OR = 1.014,95% CI:1.005 - 1.023,P = 0.002)相关。GERD水平越高,这些耳部疾病的风险越高。对于从未经历过耳鸣的个体(OR = 0.939,95% CI:0.923 - 0.957,P = 1.2721E - 11),GERD水平升高与从未经历耳鸣的可能性降低相关。未发现GERD与中耳炎之间存在因果关联(OR = 1.093,95% CI:0.884 - 1.352,P = 0.412)。BE与耳部疾病风险之间未显示出因果关系。

结论

在MR假设下,本研究结果表明GERD可能增加耳鸣、梅尼埃病、前庭功能障碍和感音神经性听力损失的风险。

https://cdn.ncbi.nlm.nih.gov/pmc/blobs/8459/12375315/8b798ef9c786/JMDH-18-5061-g0001.jpg

文献AI研究员

20分钟写一篇综述,助力文献阅读效率提升50倍。

立即体验

用中文搜PubMed

大模型驱动的PubMed中文搜索引擎

马上搜索

文档翻译

学术文献翻译模型,支持多种主流文档格式。

立即体验