Suppr超能文献

灵菌红素提取物在用于变色和抗菌伤口敷料的纺织品染色及新型印花工艺中的应用。

Application of Prodigiosin Extracts in Textile Dyeing and Novel Printing Processes for Halochromic and Antimicrobial Wound Dressings.

作者信息

Alves Cátia, Soares-Castro Pedro, Fernandes Rui D V, Pereira Adriana, Rodrigues Rui, Fonseca Ana Rita, Santos Nuno C, Zille Andrea

机构信息

Centre for Textile Science and Technology (2C2T), Department of Textile Engineering, University of Minho, Campus of Azurém, 4800-058 Guimarães, Portugal.

GIMM-Gulbenkian Institute for Molecular Medicine, Av. Prof. Egas Moniz, 1649-035 Lisbon, Portugal.

出版信息

Biomolecules. 2025 Aug 1;15(8):1113. doi: 10.3390/biom15081113.

Abstract

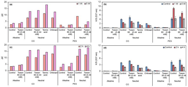
The textile industry's reliance on synthetic dyes contributes significantly to pollution, highlighting the need for sustainable alternatives like biopigments. This study investigates the production and application of the biopigment prodigiosin, which was produced by with a yield of 1.85 g/L. Prodigiosin was prepared under acidic, neutral, and alkaline conditions, resulting in varying protonation states that influenced its affinity for cotton and polyester fibers. Three surfactants (anionic, cationic, non-ionic) were tested, with non-ionic Tween 80 yielding a promising color strength (above 4) and fastness results with neutral prodigiosin at 1.3 g/L. Cotton and polyester demonstrated good washing (color difference up to 14 for cotton, 5 for polyester) and light fastness (up to 15 for cotton, 16 for polyester). Cellulose acetate, used in the conventional printing process as a thickener, produced superior color properties compared to commercial thickeners. Neutral prodigiosin achieved higher color strength, and cotton fabrics displayed halochromic properties, distinguishing them from polyester, which showed excellent fastness. Prodigiosin-printed samples also exhibited strong antimicrobial activity against and retained halochromic properties over 10 pH cycles. These findings suggest prodigiosin as a sustainable dye alternative and pH sensor, with potential applications in biomedical materials, such as antimicrobial and pH-responsive wound dressings.

摘要

纺织业对合成染料的依赖对污染有重大影响,凸显了对生物色素等可持续替代品的需求。本研究调查了灵菌红素这种生物色素的生产及应用,其产量为1.85克/升。灵菌红素在酸性、中性和碱性条件下制备,产生了不同的质子化状态,这影响了它对棉纤维和聚酯纤维的亲和力。测试了三种表面活性剂(阴离子型、阳离子型、非离子型),非离子型吐温80在1.3克/升的中性灵菌红素条件下产生了良好的色强度(高于4)和色牢度结果。棉和聚酯表现出良好的洗涤色牢度(棉的色差高达14,聚酯为5)和耐光色牢度(棉高达15,聚酯为16)。传统印花工艺中用作增稠剂的醋酸纤维素,与商业增稠剂相比产生了更优异的颜色性能。中性灵菌红素实现了更高的色强度,棉织物表现出加酸显色特性,这与聚酯不同,聚酯显示出优异的色牢度。用灵菌红素印花的样品对[具体微生物名称缺失]也表现出很强的抗菌活性,并在10个pH循环中保持加酸显色特性。这些发现表明灵菌红素可作为一种可持续的染料替代品和pH传感器,在生物医学材料如抗菌和pH响应性伤口敷料中有潜在应用。

https://cdn.ncbi.nlm.nih.gov/pmc/blobs/a760/12383654/121706602803/biomolecules-15-01113-g001.jpg

文献AI研究员

20分钟写一篇综述,助力文献阅读效率提升50倍。

立即体验

用中文搜PubMed

大模型驱动的PubMed中文搜索引擎

马上搜索

文档翻译

学术文献翻译模型,支持多种主流文档格式。

立即体验