Suppr超能文献

葫芦素B作为抗癌剂应用的最新进展

Recent Advances in the Application of Cucurbitacin B as an Anticancer Agent.

作者信息

Yin Dongge, Chen Hongyue, Lin Shuting, Sun Yufei, Jing Xiaohong, Chang Rongrong, Feng Yang, Dong Xiaoxv, Qu Changhai, Ni Jian, Yin Xingbin

机构信息

School of Chinese Materia Medica, Beijing University of Chinese Medicine, Beijing 102488, China.

出版信息

Int J Mol Sci. 2025 Aug 19;26(16):8003. doi: 10.3390/ijms26168003.

Abstract

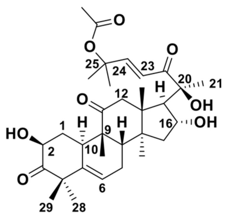
Cucurbitacin B (CuB), a tetracyclic triterpenoid compound isolated from Cucurbitaceae plants, exhibits inhibitory effects on various tumor cells (e.g., liver, gastric, and colorectal cancer cells). Since the 1970s-1980s, cucurbitacin tablets containing CuB have been used as an adjuvant therapy for chronic hepatitis and primary liver cancer. CuB exerts anticancer effects through multiple mechanisms: inducing apoptosis, cell cycle arrest (G2/M or S phase), autophagy, and cytoskeleton disruption; inhibiting migration, invasion, and angiogenesis (via VEGF/FAK/MMP-9 and Wnt/β-catenin pathways); regulating metabolic reprogramming and immune responses; inducing pyroptosis, ferroptosis, and epigenetic changes; and reversing tumor drug resistance. These effects are associated with signaling pathways like JAK/STAT, PI3K/Akt/mTOR, and FOXM1-KIF20A. To improve its application potential, strategies such as structural modification (e.g., NO donor conjugation), combination therapy (with gemcitabine or cisplatin), and nanomaterial-based delivery (e.g., liposomes and exosome-mimicking nanoparticles) have been developed to enhance efficacy, reduce toxicity, and improve bioavailability. CuB shows broad-spectrum anticancer activity, but further research is needed to clarify the mechanisms underlying its cell-specific sensitivity and interactions with the immune system. This review systematically summarizes the physicochemical properties, anticancer mechanisms, and strategies for applying CuB and suggests future research directions, providing references for scientific research and clinical translation.

摘要

葫芦素B(CuB)是一种从葫芦科植物中分离出的四环三萜类化合物,对多种肿瘤细胞(如肝癌、胃癌和结肠癌细胞)具有抑制作用。自20世纪70年代至80年代以来,含CuB的葫芦素片一直被用作慢性肝炎和原发性肝癌的辅助治疗药物。CuB通过多种机制发挥抗癌作用:诱导细胞凋亡、细胞周期阻滞(G2/M期或S期)、自噬和细胞骨架破坏;抑制迁移、侵袭和血管生成(通过VEGF/FAK/MMP-9和Wnt/β-连环蛋白途径);调节代谢重编程和免疫反应;诱导细胞焦亡、铁死亡和表观遗传变化;以及逆转肿瘤耐药性。这些作用与JAK/STAT、PI3K/Akt/mTOR和FOXM1-KIF20A等信号通路有关。为了提高其应用潜力,人们已开发出结构修饰(如与NO供体共轭)、联合治疗(与吉西他滨或顺铂联合)和基于纳米材料的递送(如脂质体和外泌体模拟纳米颗粒)等策略,以提高疗效、降低毒性并改善生物利用度。CuB具有广谱抗癌活性,但需要进一步研究以阐明其细胞特异性敏感性和与免疫系统相互作用的潜在机制。本综述系统总结了CuB的理化性质、抗癌机制和应用策略,并提出了未来的研究方向,为科学研究和临床转化提供参考。

https://cdn.ncbi.nlm.nih.gov/pmc/blobs/7746/12386397/367b45c8ff53/ijms-26-08003-g001a.jpg

文献AI研究员

20分钟写一篇综述,助力文献阅读效率提升50倍。

立即体验

用中文搜PubMed

大模型驱动的PubMed中文搜索引擎

马上搜索

文档翻译

学术文献翻译模型,支持多种主流文档格式。

立即体验