Suppr超能文献

托瑞帕利单抗联合化疗与标准化疗用于广泛期小细胞肺癌一线治疗的成本效益分析:来自美国和中国的视角

Cost-effectiveness analysis of toripalimab plus chemotherapy versus standard chemotherapy in first-line treatment for extensive-stage small cell lung cancer: perspectives from the United States and China.

作者信息

Ouyang Ming, Wang Jiangbo, Zhang Gaofeng, Huang Bei, Deng Lin, Deng Lian, Lang Wenwang

机构信息

Department of Pharmacy, Nanxishan Hospital of Guangxi Zhuang Autonomous Region, Guilin, China.

Department of Oncology, Nanxishan Hospital of Guangxi Zhuang Autonomous Region, Guilin, China.

出版信息

Front Pharmacol. 2025 Aug 20;16:1616942. doi: 10.3389/fphar.2025.1616942. eCollection 2025.

Abstract

BACKGROUND

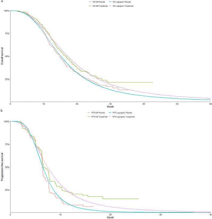
Toripalimab combined with chemotherapy has demonstrated significant clinical advantages in improving overall survival compared with chemotherapy alone as a first-line treatment for extensive-stage small-cell lung cancer (ES-SCLC).

METHOD

An economic evaluation was conducted using a Markov state-transition model to reflect the perspectives of the United States payer and Chinese healthcare systems. Primary outcomes included quality-adjusted life-years (QALYs), incremental cost-effectiveness ratio (ICER), incremental net health benefit (INHB), and incremental net monetary benefit (INMB).

RESULTS

Base-case analysis indicated that incorporating toripalimab into chemotherapy produced an ICER of $45,629.27 per QALY, exceeding China's willingness-to-pay (WTP) threshold of $38,042.49 per QALY. Subgroup analyses revealed ICERs of $22,345.99 and $30,867.38 per QALY for patients with low intratumor heterogeneity (ITH-L) and A11+/B62- histology, respectively, both below the China WTP threshold. In contrast, in the United States, the additional cost led to unfavorable ICERs of $842,855.23, $328,694.61, and $520,412.03 per QALY for the overall population, the ITH-L subgroup, and the A11+/B62- subgroup, respectively, each exceeding the United States WTP threshold of $150,000.00.

CONCLUSION

The combination of toripalimab and chemotherapy was not found to be a cost-effective first-line treatment for ES-SCLC in China or the United States, except for patients in China with ITH-L and A11+/B62- histology.

摘要

背景

作为广泛期小细胞肺癌(ES-SCLC)的一线治疗方案,托瑞帕利单抗联合化疗相较于单纯化疗在改善总生存期方面已显示出显著的临床优势。

方法

采用马尔可夫状态转移模型进行经济评估,以反映美国医保支付方和中国医疗体系的视角。主要结局包括质量调整生命年(QALYs)、增量成本效果比(ICER)、增量净健康效益(INHB)和增量净货币效益(INMB)。

结果

基础病例分析表明,将托瑞帕利单抗纳入化疗方案时,每获得一个QALY的ICER为45,629.27美元,超过了中国每QALY 38,042.49美元的支付意愿(WTP)阈值。亚组分析显示,肿瘤内异质性低(ITH-L)患者和组织学类型为A11+/B62-的患者每QALY的ICER分别为22,345.99美元和30,867.38美元,均低于中国的WTP阈值。相比之下,在美国,对于总体人群、ITH-L亚组和A11+/B62-亚组,额外成本导致每QALY的ICER分别为842,855.23美元、328,694.61美元和520,412.03美元,均超过了美国150,000.00美元的WTP阈值。

结论

在中国或美国,托瑞帕利单抗与化疗联合方案并非ES-SCLC具有成本效益的一线治疗方案,但中国ITH-L和A11+/B62-组织学类型的患者除外。

https://cdn.ncbi.nlm.nih.gov/pmc/blobs/ce60/12404973/73a670f281e1/fphar-16-1616942-g001.jpg

文献AI研究员

20分钟写一篇综述,助力文献阅读效率提升50倍。

立即体验

用中文搜PubMed

大模型驱动的PubMed中文搜索引擎

马上搜索

文档翻译

学术文献翻译模型,支持多种主流文档格式。

立即体验