Suppr超能文献

2型糖尿病中按体重指数分层的胰高血糖素样肽-1受体激动剂与心血管和肾脏结局

GLP-1 RAs and Cardiovascular and Kidney Outcomes by Body Mass Index in Type 2 Diabetes.

作者信息

Chen Tien-Hsing, Hu En-Hao, Chen Dong-Yi, Lin Yuan, Chou Tien-Shin, Lin Ming-Shyan, Yang Ning-I, Wang Chao-Yung, Hung Ming-Jui, Tsai Ming-Lung

机构信息

Division of Cardiology, Department of Internal Medicine, Keelung Chang Gung Memorial Hospital, Keelung, Taiwan.

College of Medicine, Chang Gung University, Taoyuan, Taiwan.

出版信息

JAMA Netw Open. 2025 Sep 2;8(9):e2530952. doi: 10.1001/jamanetworkopen.2025.30952.

Abstract

IMPORTANCE

The cardiovascular benefits of glucagon-like peptide-1 receptor agonists (GLP-1 RAs) may vary by body mass index (BMI), but evidence on BMI-specific outcomes remains limited.

OBJECTIVE

To investigate the associations of GLP-1 RA use with cardiovascular and kidney outcomes across BMI categories in patients with type 2 diabetes.

DESIGN, SETTING, AND PARTICIPANTS: This retrospective cohort study used the Chang Gung Research Database, a clinical dataset covering multiple hospitals in Taiwan. Patients with type 2 diabetes who received GLP-1 RAs or dipeptidyl peptidase-4 (DPP-4) inhibitors between 2011 and 2022 were identified. DPP-4 inhibitors were selected as the comparator due to their widespread use as a second-line oral hypoglycemic agent and their relatively neutral cardiovascular and kidney effects reported in previous studies. Propensity score matching was applied separately within BMI categories less than 25 and 25 or greater using a comprehensive set of demographic, clinical, and biochemical variables to balance baseline characteristics between treatment groups. The analysis was conducted from December 15, 2023, to July 5, 2024.

EXPOSURES

Initiation of GLP-1 RAs compared with DPP-4 inhibitors.

MAIN OUTCOMES AND MEASURES

Primary outcomes included major adverse cardiovascular events (MACE; defined as cardiovascular death, myocardial infarction, ischemic stroke, or hospitalization for heart failure) and composite kidney outcomes (defined as estimated glomerular filtration rate decline ≥50% or progression to dialysis).

RESULTS

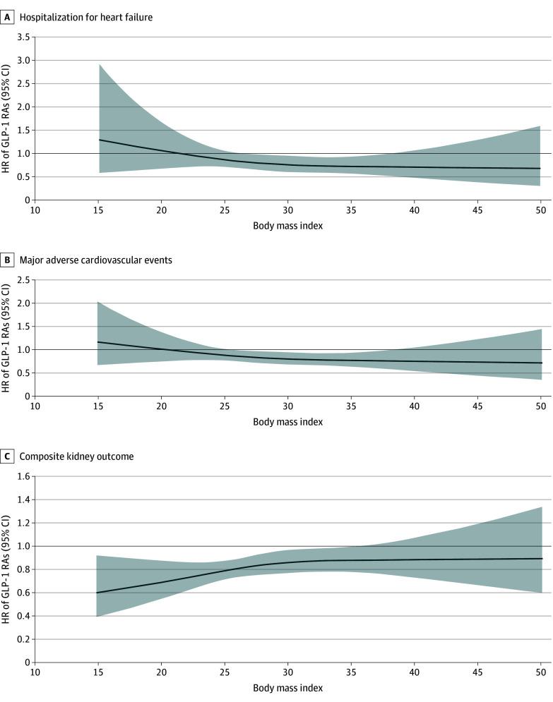
Among 97 156 patients with diabetes identified, a total of 7200 matched patients (mean [SD] age, 57.4 [14.2] years; 7473 [51.9%] female) were included (1841 pairs with BMI <25 and 5359 pairs with BMI ≥25). Among patients with BMI 25 or greater, GLP-1 RAs were associated with lower risks of cardiovascular death (hazard ratio [HR], 0.62; 95% CI, 0.46-0.83) and hospitalization for heart failure (subdistribution HR, 0.77; 95% CI, 0.62-0.94). Kidney outcomes were consistent across BMI strata. Restricted cubic spline analysis revealed increasing cardiovascular benefit associated with GLP-1 RAs among patients with higher BMI.

CONCLUSIONS AND RELEVANCE

In this cohort study of patients with type 2 diabetes, GLP-1 RAs use was associated with BMI-dependent cardiovascular benefits and consistent kidney protection, suggesting the importance of BMI stratification in guiding treatment decisions.

摘要

重要性

胰高血糖素样肽-1受体激动剂(GLP-1 RA)对心血管的益处可能因体重指数(BMI)而异,但关于特定BMI结果的证据仍然有限。

目的

研究2型糖尿病患者中使用GLP-1 RA与不同BMI类别中心血管和肾脏结局之间的关联。

设计、设置和参与者:这项回顾性队列研究使用了长庚研究数据库,这是一个涵盖台湾多家医院的临床数据集。确定了2011年至2022年间接受GLP-1 RA或二肽基肽酶-4(DPP-4)抑制剂治疗的2型糖尿病患者。由于DPP-4抑制剂作为二线口服降糖药被广泛使用,且先前研究报告其心血管和肾脏影响相对中性,因此选择DPP-4抑制剂作为对照。使用一套全面的人口统计学、临床和生化变量,在BMI小于25和BMI为25及以上的类别中分别进行倾向评分匹配,以平衡治疗组之间的基线特征。分析于2023年12月15日至2024年7月5日进行。

暴露因素

与DPP-4抑制剂相比,开始使用GLP-1 RA。

主要结局和测量指标

主要结局包括主要不良心血管事件(MACE;定义为心血管死亡、心肌梗死、缺血性中风或因心力衰竭住院)和复合肾脏结局(定义为估计肾小球滤过率下降≥50%或进展为透析)。

结果

在确定的97156例糖尿病患者中,共纳入7200例匹配患者(平均[标准差]年龄,57.4[14.2]岁;7473例[51.9%]为女性)(BMI<25的有1841对,BMI≥25的有5359对)。在BMI为25及以上的患者中,GLP-1 RA与较低的心血管死亡风险(风险比[HR],0.62;95%置信区间,0.46 - 0.83)和因心力衰竭住院风险(亚分布HR,0.77;95%置信区间,0.62 - 0.94)相关。肾脏结局在各BMI分层中一致。受限立方样条分析显示,BMI较高的患者使用GLP-1 RA带来的心血管益处增加。

结论和意义

在这项针对2型糖尿病患者的队列研究中,使用GLP-1 RA与BMI相关的心血管益处和一致的肾脏保护相关,这表明BMI分层在指导治疗决策中的重要性。

https://cdn.ncbi.nlm.nih.gov/pmc/blobs/1eb7/12418133/6880c0440a43/jamanetwopen-e2530952-g001.jpg

文献AI研究员

20分钟写一篇综述,助力文献阅读效率提升50倍。

立即体验

用中文搜PubMed

大模型驱动的PubMed中文搜索引擎

马上搜索

文档翻译

学术文献翻译模型,支持多种主流文档格式。

立即体验