Suppr超能文献

扩展遗传密码:利用文库方法在大肠杆菌中筛选四碱基密码子的高效抑制子并鉴定“易变”四碱基密码子

Expanding the genetic code: selection of efficient suppressors of four-base codons and identification of "shifty" four-base codons with a library approach in Escherichia coli.

作者信息

Magliery T J, Anderson J C, Schultz P G

机构信息

Department of Chemistry, The Scripps Research Institute, La Jolla, CA 92037, USA.

出版信息

J Mol Biol. 2001 Mar 30;307(3):755-69. doi: 10.1006/jmbi.2001.4518.

Abstract

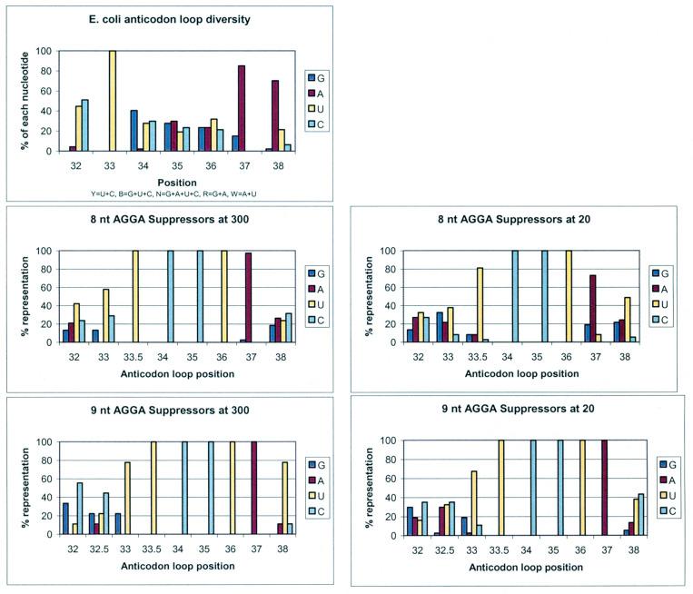
Naturally occurring tRNA mutants are known that suppress +1 frameshift mutations by means of an extended anticodon loop, and a few have been used in protein mutagenesis. In an effort to expand the number of possible ways to uniquely and efficiently encode unnatural amino acids, we have devised a general strategy to select tRNAs with the ability to suppress four-base codons from a library of tRNAs with randomized 8 or 9 nt anticodon loops. Our selectants included both known and novel suppressible four-base codons and resulted in a set of very efficient, non-cross-reactive tRNA/four-base codon pairs for AGGA, UAGA, CCCU and CUAG. The most efficient four-base codon suppressors had Watson-Crick complementary anticodons, and the sequences of the anticodon loops outside of the anticodons varied with the anticodon. Additionally, four-base codon reporter libraries were used to identify "shifty" sites at which +1 frameshifting is most favorable in the absence of suppressor tRNAs in Escherichia coli. We intend to use these tRNAs to explore the limits of unnatural polypeptide biosynthesis, both in vitro and eventually in vivo. In addition, this selection strategy is being extended to identify novel five- and six-base codon suppressors.

摘要

已知天然存在的tRNA突变体可通过扩展的反密码子环抑制+1移码突变,其中一些已用于蛋白质诱变。为了增加独特且高效地编码非天然氨基酸的可能方式的数量,我们设计了一种通用策略,从具有随机化8或9个核苷酸反密码子环的tRNA文库中选择具有抑制四碱基密码子能力的tRNA。我们筛选出的tRNA包括已知的和新型的可抑制四碱基密码子,并得到了一组针对AGGA、UAGA、CCCU和CUAG的非常高效、无交叉反应的tRNA/四碱基密码子对。最有效的四碱基密码子抑制子具有沃森-克里克互补反密码子,反密码子之外的反密码子环序列随反密码子而变化。此外,四碱基密码子报告文库用于鉴定在大肠杆菌中不存在抑制性tRNA时+1移码最有利的“易移码”位点。我们打算利用这些tRNA探索体外乃至最终体内非天然多肽生物合成的极限。此外,这种筛选策略正在扩展,以鉴定新型的五碱基和六碱基密码子抑制子。

https://cdn.ncbi.nlm.nih.gov/pmc/blobs/4cd4/7125544/2edbe0e19c0d/gr1_lrg.jpg

文献AI研究员

20分钟写一篇综述,助力文献阅读效率提升50倍。

立即体验

用中文搜PubMed

大模型驱动的PubMed中文搜索引擎

马上搜索

文档翻译

学术文献翻译模型,支持多种主流文档格式。

立即体验