Suppr超能文献

一种用于结核分枝杆菌DosR调控子差异基因表达模式的贝叶斯变化点模型。

A Bayesian Change point model for differential gene expression patterns of the DosR regulon of Mycobacterium tuberculosis.

作者信息

Zhang Yi, Hatch Kim A, Wernisch Lorenz, Bacon Joanna

机构信息

School of Crystallography, Birkbeck College, University of London, Malet Street, London, WC1E 7HX, UK.

出版信息

BMC Genomics. 2008 Feb 22;9:87. doi: 10.1186/1471-2164-9-87.

Abstract

BACKGROUND

Low oxygen availability has been shown previously to stimulate M. tuberculosis to establish non-replicative persistence in vitro. The two component sensor/regulator dosRS is a major mediator in the transcriptional response of M. tuberculosis to hypoxia and controls a regulon of approximately 50 genes that are induced under this condition. The aim of this study was to determine whether the induction of the entire DosR regulon is triggered as a synchronous event or if induction can unfold as a cascade of events as the differential expression of subsets of genes is stimulated by different oxygen availabilities.

RESULTS

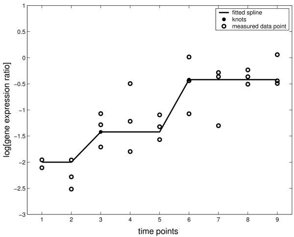
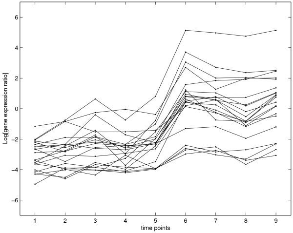
A novel aspect of our work is the use of chemostat cultures of M. tuberculosis which allowed us to control environmental conditions very tightly. We exposed M. tuberculosis to a sudden drop in oxygen availability in chemostat culture and studied the transcriptional response of the organism during the transition from a high oxygen level (10% dissolved oxygen tension or DOT) to a low oxygen level (0.2% DOT) using DNA microarrays. We developed a Bayesian change point analysis method that enabled us to detect subtle shifts in the timing of gene induction. It results in probabilities of a change in gene expression at certain time points. A computational analysis of potential binding sites upstream of the DosR-controlled genes shows how the transcriptional responses of these genes are influenced by the affinity of these binding sites to DosR. Our study also indicates that a subgroup of DosR-controlled genes is regulated indirectly.

CONCLUSION

The majority of the dosR-dependent genes were up-regulated at 0.2% DOT, which confirms previous findings that these genes are triggered by hypoxic environments. However, our change point analysis also highlights genes which were up-regulated earlier at levels of about 8% DOT indicating that they respond to small fluctuations in oxygen availability. Our analysis shows that there are pairs of divergent genes where one gene in the pair is up-regulated before the other, presumably for a flexible response to a constantly changing environment in the host.

摘要

背景

先前的研究表明,低氧环境可刺激结核分枝杆菌在体外建立非复制性持续状态。双组分传感/调节系统DosRS是结核分枝杆菌对缺氧转录反应的主要调节因子,可控制在此条件下诱导的约50个基因的调控子。本研究的目的是确定整个DosR调控子的诱导是作为一个同步事件触发的,还是随着不同氧浓度刺激基因子集的差异表达,诱导过程可以像一系列事件一样展开。

结果

我们工作的一个新方面是使用结核分枝杆菌的恒化器培养物,这使我们能够非常严格地控制环境条件。我们在恒化器培养中使结核分枝杆菌暴露于氧浓度的突然下降,并使用DNA微阵列研究了该生物体在从高氧水平(10%溶解氧张力或DOT)向低氧水平(0.2% DOT)转变过程中的转录反应。我们开发了一种贝叶斯变化点分析方法,使我们能够检测基因诱导时间的细微变化。该方法可得出特定时间点基因表达变化的概率。对DosR控制基因上游潜在结合位点的计算分析表明,这些基因的转录反应是如何受到这些结合位点与DosR亲和力的影响的。我们的研究还表明,DosR控制的基因亚组是间接调控的。

结论

大多数依赖DosR的基因在0.2% DOT时上调,这证实了先前的发现,即这些基因是由缺氧环境触发的。然而,我们的变化点分析还突出了一些在约8% DOT水平时较早上调的基因,表明它们对氧浓度的微小波动有反应。我们的分析表明,存在成对的差异基因,其中一对基因中的一个比另一个更早上调,推测这是为了对宿主中不断变化的环境做出灵活反应。

https://cdn.ncbi.nlm.nih.gov/pmc/blobs/ac19/2275270/9a112d8aeb85/1471-2164-9-87-1.jpg

文献AI研究员

20分钟写一篇综述,助力文献阅读效率提升50倍。

立即体验

用中文搜PubMed

大模型驱动的PubMed中文搜索引擎

马上搜索

文档翻译

学术文献翻译模型,支持多种主流文档格式。

立即体验