Suppr超能文献

miRNA 特征可预测乳腺癌中雌激素受体、孕激素受体和 HER2/neu 受体状态。

MicroRNA signatures predict oestrogen receptor, progesterone receptor and HER2/neu receptor status in breast cancer.

机构信息

Department of Surgery, Clinical Science Institute, University Hospital/National University of Ireland Galway, Galway, Ireland.

出版信息

Breast Cancer Res. 2009;11(3):R27. doi: 10.1186/bcr2257. Epub 2009 May 11.

Abstract

INTRODUCTION

Breast cancer is a heterogeneous disease encompassing a number of phenotypically diverse tumours. Expression levels of the oestrogen, progesterone and HER2/neu receptors which characterize clinically distinct breast tumours have been shown to change during disease progression and in response to systemic therapies. Mi(cro)RNAs play critical roles in diverse biological processes and are aberrantly expressed in several human neoplasms including breast cancer, where they function as regulators of tumour behaviour and progression. The aims of this study were to identify miRNA signatures that accurately predict the oestrogen receptor (ER), progesterone receptor (PR) and HER2/neu receptor status of breast cancer patients to provide insight into the regulation of breast cancer phenotypes and progression.

METHODS

Expression profiling of 453 miRNAs was performed in 29 early-stage breast cancer specimens. miRNA signatures associated with ER, PR and HER2/neu status were generated using artificial neural networks (ANN), and expression of specific miRNAs was validated using RQ-PCR.

RESULTS

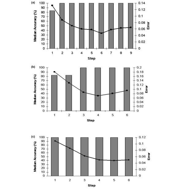
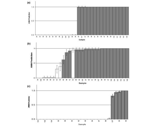
Stepwise ANN analysis identified predictive miRNA signatures corresponding with oestrogen (miR-342, miR-299, miR-217, miR-190, miR-135b, miR-218), progesterone (miR-520g, miR-377, miR-527-518a, miR-520f-520c) and HER2/neu (miR-520d, miR-181c, miR-302c, miR-376b, miR-30e) receptor status. MiR-342 and miR-520g expression was further analysed in 95 breast tumours. MiR-342 expression was highest in ER and HER2/neu-positive luminal B tumours and lowest in triple-negative tumours. MiR-520g expression was elevated in ER and PR-negative tumours.

CONCLUSIONS

This study demonstrates that ANN analysis reliably identifies biologically relevant miRNAs associated with specific breast cancer phenotypes. The association of specific miRNAs with ER, PR and HER2/neu status indicates a role for these miRNAs in disease classification of breast cancer. Decreased expression of miR-342 in the therapeutically challenging triple-negative breast tumours, increased miR-342 expression in the luminal B tumours, and downregulated miR-520g in ER and PR-positive tumours indicates that not only is dysregulated miRNA expression a marker for poorer prognosis breast cancer, but that it could also present an attractive target for therapeutic intervention.

摘要

简介

乳腺癌是一种异质性疾病,包含多种表型不同的肿瘤。临床上不同的乳腺癌肿瘤的雌激素、孕激素和 HER2/neu 受体的表达水平已被证明在疾病进展过程中以及对全身治疗的反应中会发生变化。mi(cro)RNA 在多种生物学过程中发挥着关键作用,并在包括乳腺癌在内的几种人类肿瘤中异常表达,它们作为肿瘤行为和进展的调节剂。本研究的目的是鉴定能够准确预测乳腺癌患者雌激素受体(ER)、孕激素受体(PR)和 HER2/neu 受体状态的 miRNA 特征,以深入了解乳腺癌表型和进展的调控。

方法

在 29 例早期乳腺癌标本中进行了 453 个 miRNA 的表达谱分析。使用人工神经网络(ANN)生成与 ER、PR 和 HER2/neu 状态相关的 miRNA 特征,并使用 RQ-PCR 验证特定 miRNA 的表达。

结果

逐步 ANN 分析确定了与雌激素(miR-342、miR-299、miR-217、miR-190、miR-135b、miR-218)、孕激素(miR-520g、miR-377、miR-527-518a、miR-520f-520c)和 HER2/neu(miR-520d、miR-181c、miR-302c、miR-376b、miR-30e)受体状态相关的预测性 miRNA 特征。进一步分析了 95 例乳腺癌肿瘤中的 miR-342 和 miR-520g 的表达。miR-342 的表达在 ER 和 HER2/neu 阳性的 luminal B 肿瘤中最高,在三阴性肿瘤中最低。miR-520g 的表达在 ER 和 PR 阴性肿瘤中升高。

结论

本研究表明,ANN 分析可靠地识别了与特定乳腺癌表型相关的具有生物学意义的 miRNA。特定 miRNA 与 ER、PR 和 HER2/neu 状态的关联表明这些 miRNA 在乳腺癌的疾病分类中起作用。在治疗上具有挑战性的三阴性乳腺癌肿瘤中 miR-342 表达降低,luminal B 肿瘤中 miR-342 表达增加,以及 ER 和 PR 阳性肿瘤中 miR-520g 表达下调表明,miRNA 表达失调不仅是乳腺癌预后不良的标志物,而且可能成为治疗干预的有吸引力的靶点。

https://cdn.ncbi.nlm.nih.gov/pmc/blobs/538c/2716495/cb9a92e351f7/bcr2257-1.jpg

文献AI研究员

20分钟写一篇综述,助力文献阅读效率提升50倍。

立即体验

用中文搜PubMed

大模型驱动的PubMed中文搜索引擎

马上搜索

文档翻译

学术文献翻译模型,支持多种主流文档格式。

立即体验