Suppr超能文献

假单胞菌属和伯克霍尔德菌属的生物活性和结构代谢产物——栽培蘑菇病害的致病因子

Bioactive and structural metabolites of pseudomonas and burkholderia species causal agents of cultivated mushrooms diseases.

作者信息

Andolfi Anna, Cimmino Alessio, Cantore Pietro Lo, Iacobellis Nicola Sante, Evidente Antonio

机构信息

Dipartimento di Scienze del Suolo, della Pianta, dell'Ambiente e delle Produzioni Animali, Università di Napoli Federico II, Via Università 100, 80055 Portici, Italy.

出版信息

Perspect Medicin Chem. 2008 May 9;2:81-112.

Abstract

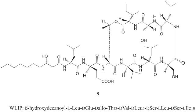
Pseudomonas tolaasii, P. reactans and Burkholderia gladioli pv. agaricicola, are responsible of diseases on some species of cultivated mushrooms. The main bioactive metabolites produced by both Pseudomonas strains are the lipodepsipeptides (LDPs) tolaasin I and II and the so called White Line Inducing Principle (WLIP), respectively, LDPs which have been extensively studied for their role in the disease process and for their biological properties. In particular, their antimicrobial activity and the alteration of biological and model membranes (red blood cell and liposomes) was established. In the case of tolaasin I interaction with membranes was also related to the tridimensional structure in solution as determined by NMR combined with molecular dynamic calculation techniques. Recently, five news minor tolaasins, tolaasins A-E, were isolated from the culture filtrates of P. tolaasii and their chemical structure was determined by extensive use of NMR and MS spectroscopy. Furthermore, their antimicrobial activity was evaluated on target micro-organisms (fungi-including the cultivated mushrooms Agaricus bisporus, Lentinus edodes, and Pleurotus spp.-chromista, yeast and bacteria). The Gram positive bacteria resulted the most sensible and a significant structure-activity relationships was apparent. The isolation and structure determination of bioactive metabolites produced by B. gladioli pv. agaricicola are still in progress but preliminary results indicate their peptide nature. Furthermore, the exopolysaccharide (EPS) from the culture filtrates of B. gladioli pv. agaricicola, as well as the O-chain and lipid A, from the lipopolysaccharide (LPS) of the three bacteria, were isolated and the structures determined.

摘要

托氏假单胞菌、反应假单胞菌和唐菖蒲伯克霍尔德氏菌蘑菇致病变种,是一些栽培蘑菇品种病害的病原菌。这两种假单胞菌菌株产生的主要生物活性代谢产物分别是脂环肽(LDPs)托拉菌素I和II以及所谓的白线诱导因子(WLIP),LDPs因其在病害过程中的作用及其生物学特性而受到广泛研究。特别是,它们的抗菌活性以及对生物膜和模型膜(红细胞和脂质体)的影响已得到证实。就托拉菌素I与膜的相互作用而言,通过核磁共振(NMR)结合分子动力学计算技术确定,其也与溶液中的三维结构有关。最近,从托氏假单胞菌的培养滤液中分离出了5种新的次要托拉菌素,即托拉菌素A - E,并通过广泛使用NMR和质谱光谱法确定了它们的化学结构。此外,还对目标微生物(真菌——包括栽培蘑菇双孢蘑菇、香菇和平菇属——卵菌、酵母和细菌)评估了它们的抗菌活性。革兰氏阳性菌最为敏感,且明显存在显著的构效关系。唐菖蒲伯克霍尔德氏菌蘑菇致病变种产生的生物活性代谢产物的分离和结构测定仍在进行中,但初步结果表明它们具有肽的性质。此外,还从唐菖蒲伯克霍尔德氏菌蘑菇致病变种的培养滤液中分离出了胞外多糖(EPS),以及从这三种细菌的脂多糖(LPS)中分离出了O链和脂质A,并确定了它们的结构。

https://cdn.ncbi.nlm.nih.gov/pmc/blobs/84ae/2746572/39f56e5e494e/pmc-2008-081f1.jpg

文献AI研究员

20分钟写一篇综述,助力文献阅读效率提升50倍。

立即体验

用中文搜PubMed

大模型驱动的PubMed中文搜索引擎

马上搜索

文档翻译

学术文献翻译模型,支持多种主流文档格式。

立即体验